Looks like #ElectionTwitter has gone to bed. Oh well.

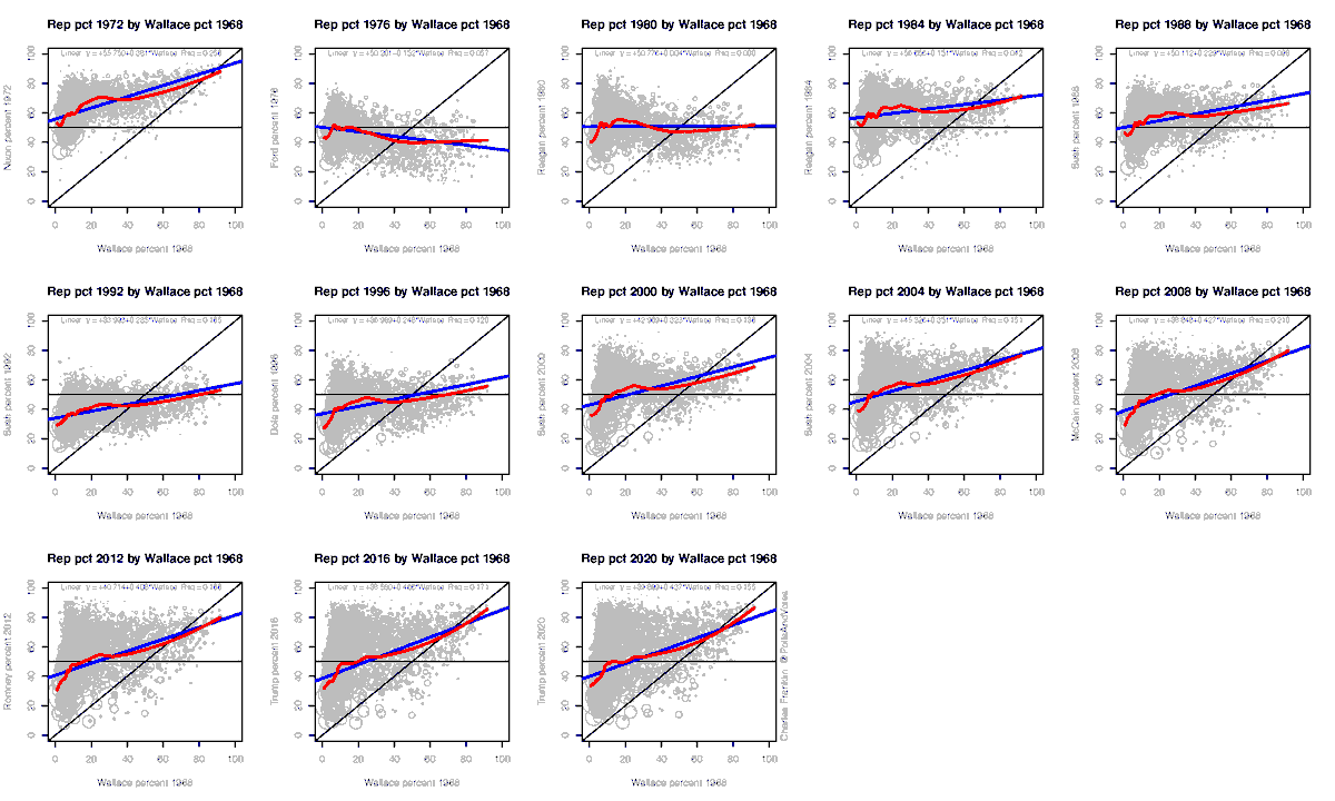
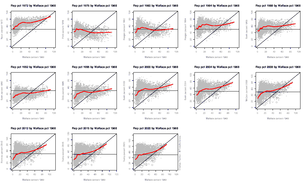
Here is county vote for GOP pres cands by county vote for Wallace in 1968. Red line is local fit. Symbol size proportional to total vote.

Nixon '72 got Wallace country but largely flat for Reagan & Bush. Then rises thru 2020
Revised main plot, adding linear fits (blue) to local fits (red) and summary of how Wallace coefficient and R-squared change over time.
You can follow @PollsAndVotes.
Tip: mention @twtextapp on a Twitter thread with the keyword “unroll” to get a link to it.

Latest Threads Unrolled:

By continuing to use the site, you are consenting to the use of cookies as explained in our Cookie Policy to improve your experience.