My friends I've been working on a project for a long time. I am extremely excited to show you.
What if I told you, I had exquisite NASA observations of stars, spanning 4 years, in magical technicolor?
What if I told you, so do you.
It's been sat in an archive for 10 years.
What if I told you, I had exquisite NASA observations of stars, spanning 4 years, in magical technicolor?
What if I told you, so do you.
It's been sat in an archive for 10 years.
NASA's Kepler mission revolutionized the search for exoplanets, and found thousands of them. The data was used for so much science, helping further our understanding of everything from stars, to asteroids, to supernovae!
But...Kepler could only ever observe black and white.
But...Kepler could only ever observe black and white.
But folks...let me tell you. It's really hard to make optical systems have exactly zero color information.
When light entered the Kepler telescope, it had to pass through a complex optical system, and that system treated blue light slightly differently to red light.
When light entered the Kepler telescope, it had to pass through a complex optical system, and that system treated blue light slightly differently to red light.
This means that stars that are bluer appear a -slightly- different "shape" in the image, than stars that are red. Here's zoom in of a model of what a single star would look like in Kepler data, if it was red vs blue.
But in reality, this effect is VERY tiny.
But in reality, this effect is VERY tiny.
BUT, using all the lessons we've learned from the NASA K2, mission, we're able to revisit the Kepler data, and build a data driven model for the image of each star.
In my new paper, we show how we can model these tiny shape changes, and back out color information.
In my new paper, we show how we can model these tiny shape changes, and back out color information.
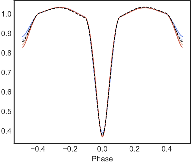
Here's an example of what we can do. This is an eclipsing binary (two stars, orbiting each other). You can see during the secondary eclipse, the eclipse depth changes. This is because, in different wavelengths, the stars have different brightnesses!
Here's a zoom in on the secondary eclipse. Not only is the depth changing, but the shape is changing! That's because limb-darkening on each star is also wavelength dependent! We can also see similar effects in the primary eclipse, and in the phase curve!
What does this mean? Well in our preliminary work, we demonstrate that you can tease out color information from Kepler imaging data. In this work, we used known eclipsing binaries to calibrate our model.
We don't currently have a calibrated PSF model for every star...
BUT
We don't currently have a calibrated PSF model for every star...
BUT
We now know that a shape change in a Kepler image of a target, means a change in the color of the target. So if we look at the shape for targets, we can find all sorts of interesting information!
Here's the "shape" of a target, as a function of time. Orange points indicate a significant shape change.
See those flares? There's a large shape change in the PSF! There is a significant color change!
We can use this information to better understand flare temperatures!
See those flares? There's a large shape change in the PSF! There is a significant color change!
We can use this information to better understand flare temperatures!
This is a pulsating RR Lyrae star, folded at the period of the pulsations. There's a significant shape change in the PSF as a function of phase.
By using this information for an ensemble of stars, we could use Kepler to better understand these pulsations!
By using this information for an ensemble of stars, we could use Kepler to better understand these pulsations!
Here's a planet in Kepler on the top row, and a false positive, eclipsing binary at the bottom. See how there's no shape change for a planet, but a big change for the EB? The binary changes color, but the planet doesn't.
We can use this technique to help planet validation!
We can use this technique to help planet validation!
The effect in Kepler is small, so these shape changes are very hard to identify.
However.
NASA TESS's optical system uses lenses, and has a much stronger wavelength dependence. This technique will have a much larger effect in TESS.
Watch.
This.
Space.
However.
NASA TESS's optical system uses lenses, and has a much stronger wavelength dependence. This technique will have a much larger effect in TESS.
Watch.
This.
Space.
The paper discussing this work was published today, arxiv version should be live tomorrow!
HUGE thank you to my coauthors @rodluger, @jessiedotson, @exoplaneteer and @GeertHub, particularly @rodluger for teaching me how to build models like this!
https://iopscience.iop.org/article/10.3847/1538-3881/abd31c
HUGE thank you to my coauthors @rodluger, @jessiedotson, @exoplaneteer and @GeertHub, particularly @rodluger for teaching me how to build models like this!
https://iopscience.iop.org/article/10.3847/1538-3881/abd31c
Read on Twitter