#AnimBehav2021 Yellow warblers have a referential alarm call for brood parasites. Hearing this “seet” call elicits immediate nest defense (sitting) in host females, but what if the brood parasite returns the next day to lay its egg? Do hosts extend nest defenses into the future?
I’m Shelby, a PhD student in @cowbirdlab. I study vocal defenses hosts use against avian brood parasites (species that lay eggs in other birds’ nests). The parasitic chicks are costly to hosts. However yellow warblers have evolved a seet call that warns of cowbirds #AnimBehav2021
After hearing the referential seet call, female yellow warblers rush back and sit tightly on their nests. This is adaptive to prevent cowbirds from inspecting nest contents, but it doesn’t prevent parasitism per se, as cowbirds only lay their eggs at dawn. #AnimBehav2021
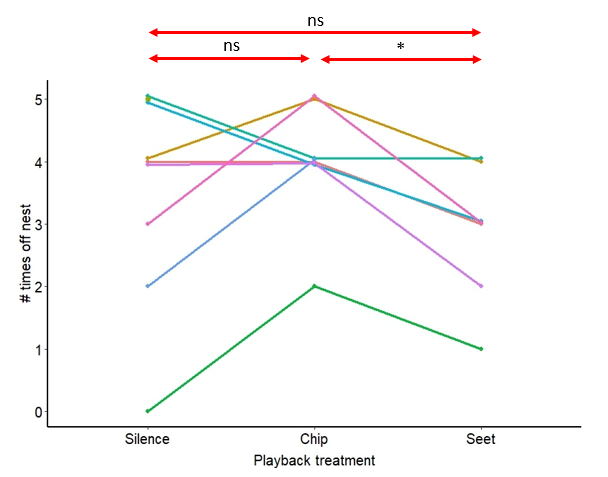
We tested if females alter their future behavior adaptively in response to seets. Specifically, we tested if females attend to nests more closely at dawn following playbacks of seet calls (a) the prior day. We used anti-predator chip calls (b) + silence as controls #AnimBehav2021
We tested nests during incubation and presented each with different playback types over 3 days. We observed warbler nests for 1hr after sunrise and tallied the # of departures from the nest. Some nests had temperature loggers (iButton) for collecting on/off data #AnimBehav2021
Treatment had a significant effect on female nest departure rates the next morning. Post-hoc analysis showed female warblers got off the nest fewer times following seet call playbacks compared to chip calls. We had high repeatability between visual vs iButton data #AnimBehav2021
Cowbirds parasitize nests at dawn, so antiparasitic behaviors should extend to this window. Yellow warblers respond to seets with nest sitting throughout the day, but here we show this defensive behavior persists into the next morning when parasitism is most likely #AnimBehav2021
Thank you for checking out this thread! Please follow other members of the team for more warbler research! @cowbirdlab @JaniceEnos2 @birdsoundscapes
Thanks to @skwinnicki for helping stake nests and for the video. Please post any questions you have in the thread!
#AnimBehav2021
You can follow @Bird_Sock.
Tip: mention @twtextapp on a Twitter thread with the keyword “unroll” to get a link to it.

Latest Threads Unrolled:

By continuing to use the site, you are consenting to the use of cookies as explained in our Cookie Policy to improve your experience.