Now on the arXiv! Companion papers Calafut et al. ( http://arxiv.org/abs/2101.08374 ) and Vavagiakis et al. ( http://arxiv.org/abs/2101.08373 ) measure the pairwise kinematic Sunyaev-Zel’dovich (kSZ) & thermal SZ effects in @ACT_Pol + @Planck data from 340,000 @sdssurveys sources (1/7)
Vavagiakis et al. Fig 1 shows the coadded ACT DR5 ACT+Planck map ( http://arxiv.org/abs/2007.07290 ) overlaid with the @sdssurveys DR15 LRGs used for the joint SZ analyses, which use the same datasets (2/7)
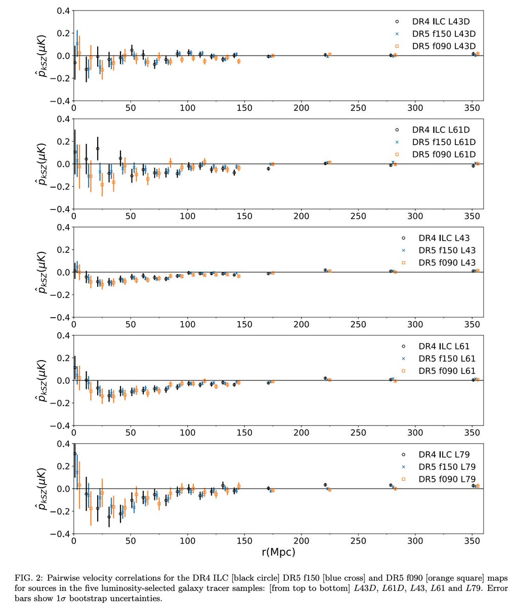
Calafut et al. measures the pairwise kinematic Sunyaev-Zel’dovich effect in the ACT+Planck map and the ACT DR4 ILC ( http://arxiv.org/abs/1911.05717 ) map and presents a 5.4σ detection (3/7)
Vavagiakis et al. compares the baryon content of galaxy halos using the two SZ effects from model fits to the pairwise kSZ results (Fig 4. Calafut et al. shown) and a hydrodynamical simulation ( http://arxiv.org/abs/1607.02442 ) for the tSZ results (4/7)
Compton-y results from the Vavagiakis et al. tSZ analysis of the ACT+Planck and ACT DR4 ILC maps across the LRG luminosity bins analyzed achieve S/N up to 12σ (5/7)
Fig 7 Vavagiakis et al.: Comparison of the fraction of theoretically predicted optical depth obtained from the thermal and kinematic SZ effects across luminosity bins: accounts for one third to all of the theoretically predicted halo baryon content (6/7)
Fig. 8 Vavagiakis et al.: Optical depth from kSZ (Calafut et al.) vs. Compton-y from tSZ, plotted along with the hydrodynamical simulation relating y to optical depth. A step towards a Compton-y-optical depth relationship from joint kSZ & thermal SZ measurements! (7/7)
You can follow @ACT_Pol.
Tip: mention @twtextapp on a Twitter thread with the keyword “unroll” to get a link to it.

Latest Threads Unrolled:

By continuing to use the site, you are consenting to the use of cookies as explained in our Cookie Policy to improve your experience.