The Special Issue “Evolution in Urban Environments” is online! https://onlinelibrary.wiley.com/toc/17524571/2021/14/1

edited by L. Miles @lindsay_s_miles, E. Carlen @E_Carlen, K. Winchell @Kmwinchell, and M. Johnson @evoecolab #conservation #evolution #UrbanEcology

A thread 1/14
The 16 contributions touch diverse aspects of evolutionary research: plasticity and physiological response, phenotype‐environment relationships, population connectivity, human‐wildlife interactions. Highlight how urbanization can influence adaptive and nonadaptive evolution. 2/14
The editorial article https://doi.org/10.1111/eva.13165 provides a thorough overview of how urban evolutionary change is becoming an increasingly prominent and important process shaping the contemporary evolution of many species throughout the world. 3/14
Studies show how urban climate, including heatwaves, affect physiological traits of organisms both through adaptive responses and plastic changes. Yilmaz et al https://doi.org/10.1111/eva.13052 on isopods. Tüzün @Nedim_Tuzun and Stoks https://doi.org/10.1111/eva.13041 on damselflies.4/14
Chick @lacydchick et al. https://doi.org/10.1111/eva.13083 addresses another understudied aspect of the physiological effects linked to urban heat islands: the acceleration of metabolic rates in acorn ants 5/14
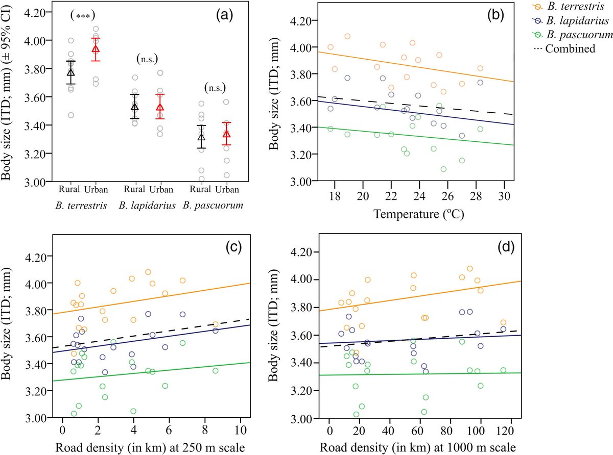
Phenotype-environment interactions due to urbanization were particularly observed when measuring body size variation, in bumblebees (Theodorou et al https://doi.org/10.1111/eva.13087 ) and passerine birds ( @RealKea89 Corsini et al. https://doi.org/10.1111/eva.13081 ) 6/14
The effects of urbanization also emerge at molecular scale since @hydrobates1 Watson et al https://doi.org/10.1111/eva.13160 found epigenetic markers and gene expression variation between urban and non-urban birds. 7/14
For population genetics, urban settings can either facilitate gene flow or fragment habitat, an ambivalent effect that is reflected in the contrasting observations between flying and non-flying mammals. @JRichardson_44 Richardson et al https://doi.org/10.1111/eva.13133 8/14
In amphibians, both salamanders from New York (Fusco @nfusco22 et al, https://doi.org/10.1111/eva.13025) and frogs from Shanghai (Wei et al https://doi.org/10.1111/eva.13156 ) are shown to experience reduced gene flow in urban areas, in relations with buildings and roadways. 9/14
In contrast, Ballare and Jha found that urban areas do not restrict gene flow in carpenter bees https://doi.org/10.1111/eva.13078 while Carlen @E_Carlen and Munshi-South @urbanevol report that a megacity acts as a single urban habitat for feral pigeons https://doi.org/10.1111/eva.12972 10/14
Movement of animals like rats according to the urban settings are also critical in shaping the distribution of pathogens as studied by Byers et al @kaylee_byers https://doi.org/10.1111/eva.13049 11/14
The SI includes two thorough syntheses which detail the myriad ways urbanization influences marine organisms (Alter et al @MontereyFishLab https://doi.org/10.1111/eva.13048) & how museum specimen are useful to study urban evolution (Shultz et al @ajshultz622 https://doi.org/10.1111/eva.13045) 12/14
In a cross-disciplinary perspective about human–wildlife conflict, Schell et al @cschell_canids ( https://doi.org/10.1111/eva.13131 ) dig into how socio-political policies and social processes interact with ecology in driving evolution in urban environments.13/14
Finally, a must-read of the special issue is the capstone by Des Roches et al @DrSimoneDr https://doi.org/10.1111/eva.13065 which proposes a “socio-eco-evolutionary” framework for studying urban ecosystems. 14/14
You can follow @EvolAppJournal.
Tip: mention @twtextapp on a Twitter thread with the keyword “unroll” to get a link to it.

Latest Threads Unrolled:

By continuing to use the site, you are consenting to the use of cookies as explained in our Cookie Policy to improve your experience.