Stephen Hawking was born #OTD in 1942. He developed theorems with Penrose that determine when general relativity produces singularities, established classical laws of black hole mechanics, and hypothesized that quantum effects make black holes radiate.
Image: Santi Visalli/Getty
Image: Santi Visalli/Getty
Hawking's work on black holes radiating quantum mechanically led to the black hole information paradox, which is one of the instructive puzzles that guides our attempts to develop a complete theory of quantum gravity.
Black hole radiation and the information paradox is probably Hawking's best-known result. How did it come about?
In 1970 Hawking proposed an “area law” for black holes: the area of the event horizon never gets smaller. This is true in general relativity, a classical theory.
In 1970 Hawking proposed an “area law” for black holes: the area of the event horizon never gets smaller. This is true in general relativity, a classical theory.
You can get a sense of how this works in the simplest case. The radius of a non-rotating black hole is proportional to its mass. As more material crosses the horizon its radius and area both increase. Since it can’t lose mass via things escaping, the area never decreases.
Hawking’s area law is of course much broader than this simple observation, accommodating the full range of dynamical black holes allowed by general relativity and holding under quite general assumptions.
"In other words, the area of the boundary of a black hole cannot decrease with time, and if two or more black holes merge to form a single black hole, the area of its boundary will be greater than the areas of the boundaries of the original black holes."
— Hawking & Ellis (1973)
— Hawking & Ellis (1973)
This passage from Hawking & Ellis’s “Large Scale Structure of Spacetime” isn't just academic. Nowadays @LIGO and @ego_virgo detect the merger of black holes several times a year, via the gravitational waves they emit.
The black hole mergers detected by @ligo and @ego_virgo all satisfy Hawking’s area law. In any process involving one or more black holes the horizon area of the final configuration is greater than the initial areas.
Image: LIGO-Virgo/ Northwestern U./ Frank Elavsky & Aaron Geller
Image: LIGO-Virgo/ Northwestern U./ Frank Elavsky & Aaron Geller
In January of 1973, Bardeen, Carter, and Hawking published their “four laws of black hole mechanics.” There was a zeroth law which, as is often the case with zeroth laws, you need not worry about.
https://projecteuclid.org/euclid.cmp/1103858973
https://projecteuclid.org/euclid.cmp/1103858973
The First Law related the change in a black hole's internal energy to changes in its area, angular momentum, and charge. The Second Law was Hawking’s area theorem. And the Third Law said a black hole can’t reach zero surface gravity through any physical process.
If you’ve studied thermodynamics this might sound familiar. Hawking’s work in the early 1970s established a really suggestive analogy between the laws of thermodynamics and the laws governing black holes. Bardeen, Carter, and Hawking flesh it out right there in the paper.
But it's just an analogy, right?
Around the same time (the paper was submitted in November 1972 and appeared in April 1973) Jacob Bekenstein suggested that perhaps it was more than an analogy. Maybe black holes really are thermodynamic objects with temperature and entropy!
https://journals.aps.org/prd/abstract/10.1103/PhysRevD.7.2333
https://journals.aps.org/prd/abstract/10.1103/PhysRevD.7.2333
Bekenstein was motivated by discussions with his advisor John Wheeler, who was worried about what would happen to the entropy of a hot cup of tea poured into a black hole. Would it vanish like everything else?
Hawking got right to work, and by the next January he had shown that indeed, quantum mechanical effects cause black holes to radiate. As far as he could tell, their spectrum was that of an ideal blackbody.
https://www.nature.com/articles/248030a0
https://www.nature.com/articles/248030a0
But energy and mass are equivalent, so as the black hole radiates energy it must lose mass. And this causes the area of its event horizon to decrease, a quantum mechanical phenomenon that directly contradicts the classical result Hawking had established just a few years earlier!
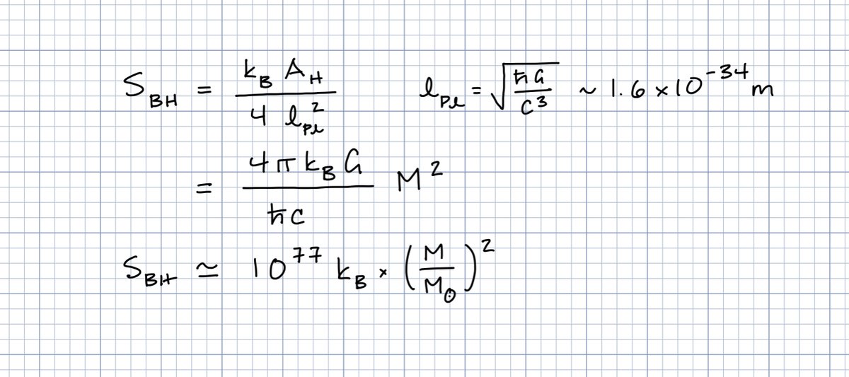
This discovery turned Bekenstein’s proposal into something more concrete: A black hole has a temperature, and therefore an entropy. This Bekenstein-Hawking entropy is one-quarter of the area of the black hole event horizon, as measured in units of the Planck length squared.
To get a feel for how this works for astrophysical black holes, let's look at the simplest case: Schwarzschild's non-rotating black hole. In that case the radius of the horizon is proportional to the mass of the black hole.
Here G is Newton's constant and c is the speed of light. A solar-mass black hole would have a Schwarzschild radius of around 3 km. But our sun isn't massive enough to form a black hole. A more massive star that became a 20 solar mass black hole would have a radius of ~59 km.
The temperature of the Schwarzschild black hole is inversely proportional to its radius. Our 20 solar mass black hole, comparable to some of the black holes involved in mergers detected by @ligo, would have a temperature of around 3 x 10⁻⁹ K.
That's three billionths of a Kelvin above absolute zero –– a phenomenally cold object.
What does this mean for the entropy? The area of the Schwarzschild horizon is 4π times the square of its radius. And the Planck length is astonishingly small –– about 1.6 x 10⁻³⁴ meters. The entropy of our 20 solar mass black hole is about 4 x 10⁷⁹ k_B.
This is many orders of magnitude larger than a self-gravitating ball of gas with comparable mass. Black holes are far and away the most entropic objects in the Universe. Indeed, most of the entropy of the Universe is in the form of black holes.
Okay, where were we going before this numerical detour?
Ah yes, radiation! As you can see from the calculations above, astrophysical black holes are far colder than their surroundings. The Cosmic Microwave Background is an ambient bath of photons with a temperature of about 2.7 K.
Because black holes have a temperature, they should radiate. But since astrophysical black holes are colder than their surroundings, they are out of thermal equilibrium and absorb more energy than they emit.
But the simple fact that black holes can radiate energy raises a profound question.
In Hawking’s calculation the radiation emitted by a black hole is perfectly thermal, and therefore contains no information about the particular quantum mechanical state of the matter that formed the black hole.
The CMB is cooling down as the Universe expands, and its temperature will eventually (in the far, far future) drop below the temperatures of astrophysical black holes. At that point they will radiate more than they absorb and begin to lose mass.
As the black hole loses energy it gets smaller and hotter, which suggest a runaway process in which it might completely “evaporate.” But if the black hole evaporates, and the radiation is thermal, does that mean we have lost all the information about the matter that preceded it?
This is at odds with our understanding of quantum mechanics, which demands in a very precise sense that certain types of information can’t be lost. This “black hole information paradox” has been one of the deep questions guiding work on quantum gravity over the last ~50 years.
Progress comes from sharp questions that show the gaps in our understanding. This is one of those. I think of this work as Hawking's greatest scientific achievement not because he came up with an answer, but because he led us to a deep and instructive question.
Take a look at @gmusser's piece at @QuantaMagazine explaining recent progress on the black hole information paradox, which we may finally be close to resolving. https://www.quantamagazine.org/the-black-hole-information-paradox-comes-to-an-end-20201029/
Anyway, Stephen Hawking would have turned 79 today. He passed away in 2018. He had a wonderful sense of humor. I once asked him if he was more proud of his work on singularity theorems, or his appearance on the Simpsons. His answer?
Here's a short recollection from a few years ago about “A Brief History of Time,” the book that made Hawking an international celebrity. https://twitter.com/mcnees/status/1101615379925876736
Lectures by Dr. Eiichiro Komatsu and Sir Roger Penrose to celebrate the birthday of Stephen Hawking.
http://www.ctc.cam.ac.uk/activities/hawking79/
http://www.ctc.cam.ac.uk/activities/hawking79/
Read on Twitter