Human beings are generally bad at understanding risk, particularly as it relates to themselves.
Having said that, in this case the information being supplied related to the Pfizer vaccines, is certainly not helping. https://www.bbc.co.uk/news/uk-wales-55579028
Having said that, in this case the information being supplied related to the Pfizer vaccines, is certainly not helping. https://www.bbc.co.uk/news/uk-wales-55579028
An example of how people are bad at judging risk?
Earthquake insurance sales tend to soar in the aftermath of a major earthquake, then decline the longer that passes without an earthquake, just as the risk is steadily growing.
Earthquake insurance sales tend to soar in the aftermath of a major earthquake, then decline the longer that passes without an earthquake, just as the risk is steadily growing.
In this case, the unfortunate nurse has had one dose of the Pfizer vaccine, three weeks previously.
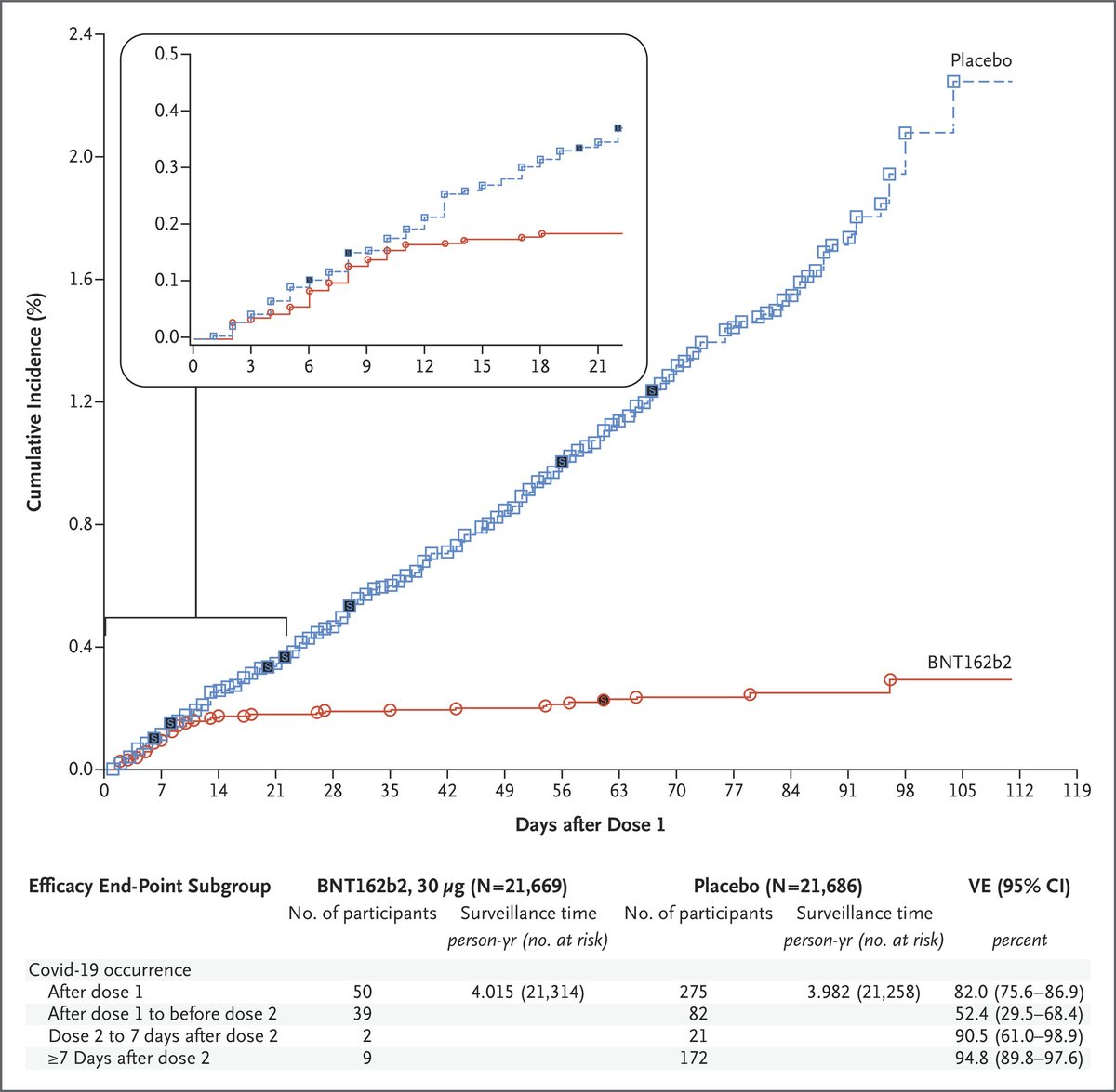
However, if you look at the data, the efficacy for a single dose at this stage is 52.4%, but with a 95% Confidence Interval ranging from 29.5% to 68.4%.
However, if you look at the data, the efficacy for a single dose at this stage is 52.4%, but with a 95% Confidence Interval ranging from 29.5% to 68.4%.
That translates to a 95% chance that the efficacy is ANYWHERE between 29.5% and 68.4%.
29.5% is certainly better than 0%, but IF you were aware that may be your level of protection, you might tend to remain somewhat cautious?
29.5% is certainly better than 0%, but IF you were aware that may be your level of protection, you might tend to remain somewhat cautious?
People are not being helped by the reporting.
I wonder how many journalists with a science background have actually read the Pfizer vaccine paper?
The 90% efficacy figure for the Pfizer vaccine at one dose, is FAR from certain.
I wonder how many journalists with a science background have actually read the Pfizer vaccine paper?
The 90% efficacy figure for the Pfizer vaccine at one dose, is FAR from certain.
Pfizer never did a trial to establish the efficacy of their vaccine after one dose, and they say so, quite explicitly in their paper.
"The study was not designed to assess the efficacy of a single-dose regimen."
"The study was not designed to assess the efficacy of a single-dose regimen."
As a side note (essentially), they do report an efficacy of 90.5% related to the 7 day period after the second dose of the vaccine has been given.
7 days.
A total of 23 people were infected in that period (2 in the vaccine group, 21 in the placebo group).
Very little data.
7 days.
A total of 23 people were infected in that period (2 in the vaccine group, 21 in the placebo group).
Very little data.
One should also note that this figure, such as it is, still relates to a period AFTER the second dose was given.
The belief is the second dose will not have any significant effect at this stage.
Beliefs can (and often are) wrong.
That's why we do clinical trials.
The belief is the second dose will not have any significant effect at this stage.
Beliefs can (and often are) wrong.
That's why we do clinical trials.
Being given a second dose of the vaccine is certainly a significant event.
It may have an immediate effect. It may not.
mRNA vaccines are "new tech".
We can only KNOW what has been proven by clinical trial.
It may have an immediate effect. It may not.
mRNA vaccines are "new tech".
We can only KNOW what has been proven by clinical trial.
The Pfizer vaccine trial was run over a period of 4 months (followed by a period of safety monitoring).
I suppose clinical trials would go much faster IF we decided we only needed to examine 1 week's worth of data, 3 weeks after the first dose, but the risks are SO much greater.
I suppose clinical trials would go much faster IF we decided we only needed to examine 1 week's worth of data, 3 weeks after the first dose, but the risks are SO much greater.
Amazingly, that's just the basis on which the UK is currently pursuing it's Pfizer vaccine strategy.
Far worse, is that this strategy is being pursued without the public being informed of the greater uncertainty.
I don't believe this is ethical.
Far worse, is that this strategy is being pursued without the public being informed of the greater uncertainty.
I don't believe this is ethical.
In order to give informed consent, a patient needs to be, well...informed.
If I'm faced with surgery, which has a 1 in 2 chance of survival, I want a surgeon who will tell me that.
One who tells me, "Och, it'll be fine!", might make me feel better in the moment, but...
If I'm faced with surgery, which has a 1 in 2 chance of survival, I want a surgeon who will tell me that.
One who tells me, "Och, it'll be fine!", might make me feel better in the moment, but...
Communication on vaccines needs to be reliable.
We are all utterly scunnered of Covid.
We all want our "normal" lives back.
There's going to be a tendency that once we're vaccinated, to drop our guard.
"Mask? I'm fine mate, I've been vaccinated."
We are all utterly scunnered of Covid.
We all want our "normal" lives back.
There's going to be a tendency that once we're vaccinated, to drop our guard.
"Mask? I'm fine mate, I've been vaccinated."
The Pfizer trial never monitored asymptomatic transmission.
The Pfizer vaccine MAY be effective in stopping this, but we don't have that data (so far).
It's key that even after being vaccinated, masks continue to be worn until something like herd immunity is achieved.
The Pfizer vaccine MAY be effective in stopping this, but we don't have that data (so far).
It's key that even after being vaccinated, masks continue to be worn until something like herd immunity is achieved.
In a pandemic, we are all our brother's (and sister's) keeper.
All for one and one for all.
As never before, we truly are ALL in this together.
All for one and one for all.
As never before, we truly are ALL in this together.
As noted in the BBC story, 95% for a vaccine(while amazing), is still not 100%.
Most of us are used to getting vaccines before we go on holiday and we think we're "safe".
The reality is we are "safer".
Most of us are used to getting vaccines before we go on holiday and we think we're "safe".
The reality is we are "safer".
Since March, I have viewed life as a series of risk management exercises.
I want to stay safe and (far more) I want to keep my Mum safe.
As such, I haven't visited any "non-essential" shops, and I used to visit some of my favourites, on a weekly basis.
I want to stay safe and (far more) I want to keep my Mum safe.
As such, I haven't visited any "non-essential" shops, and I used to visit some of my favourites, on a weekly basis.
Too extreme?
Many a mickle makes a muckle, applies to risk too.
In fact, there's a formula to calculate it.
(I did a course in probability as part of my undergraduate degree).
Many a mickle makes a muckle, applies to risk too.
In fact, there's a formula to calculate it.
(I did a course in probability as part of my undergraduate degree).
Suppose the chances you will die from a skydive are 0.1 (I'm sure they are MUCH less).
If you repeat this 10 times, the chances you die from any one of the dives is
1−(0.9)^10=0.6513 (or 65.13%)
If you repeat this 10 times, the chances you die from any one of the dives is
1−(0.9)^10=0.6513 (or 65.13%)
Let's guess that my chances of catching Covid during 1 visit to a non-essential shop, is 1 in 200 (0.005).
Pretty small?
If I visit 4 non-essential shops a week, over a year, what's my risk of getting Covid from any one of the visits?
1−(0.995)^208=0.6475 (or 64.75%)
Pretty small?
If I visit 4 non-essential shops a week, over a year, what's my risk of getting Covid from any one of the visits?
1−(0.995)^208=0.6475 (or 64.75%)
My apologies to my favourite (non-essential) shops.
I'm truly sorry for the loss of my custom.
However, acting to keep my Mum safe, is the only sane choice I can make, given I understand how small risks can accrue dramatically.
I'm truly sorry for the loss of my custom.
However, acting to keep my Mum safe, is the only sane choice I can make, given I understand how small risks can accrue dramatically.
I despair when certainty is communicated to people, when there is really a degree of uncertainty.
There is an urgent need for reporters with a science background (who have read the Pfizer paper), to ask challenging questions about the 12 week Pfizer gap between vaccine doses.
There is an urgent need for reporters with a science background (who have read the Pfizer paper), to ask challenging questions about the 12 week Pfizer gap between vaccine doses.
Medicine and vaccines and pandemics are not my field.
However, I do have a science background and I also pay close attention.
I have learned so much from listening to Dr. Fauci and @drsanjaygupta via @CNN (which I watch a lot, late at night). #NightOwl
My thanks to them both.
However, I do have a science background and I also pay close attention.
I have learned so much from listening to Dr. Fauci and @drsanjaygupta via @CNN (which I watch a lot, late at night). #NightOwl
My thanks to them both.
Read on Twitter