I often sue the NYPD over protest policing. The DOI report, created at the Mayor's direction, and his response, are navel-gazing. Protesters brutalized by the NYPD have demanded transparency, community control, and defunding. Electeds owe them, and all of us, much more than this. https://twitter.com/NYCMayor/status/1339909095223144450
The @NYC_DOI Commissioner just said to @macfathom in substance that the NYPD had probable cause to arrest people who were out after curfew unless they were Essential Workers.
No. That is 100% wrong on the law.
The curfew itself required a dispersal order and knowing violation.
No. That is 100% wrong on the law.
The curfew itself required a dispersal order and knowing violation.
On top of the language in the curfew Executive Orders *requiring* that the police give orders to disperse and only arrest *knowing* violators, the NYC Administrative Code provision the City utilized to charge perceived curfew violators also contains a knowing intent requirement
Under the Executive Orders, dispersal orders WERE required prior to arrests of perceived curfew violators.
To say otherwise is factually wrong, and parrots the groundless and self-serving position the NYPD took in response to the @hrw #FTP4 report
https://www.hrw.org/news/2020/09/30/us-new-york-police-planned-assault-bronx-protesters
To say otherwise is factually wrong, and parrots the groundless and self-serving position the NYPD took in response to the @hrw #FTP4 report
https://www.hrw.org/news/2020/09/30/us-new-york-police-planned-assault-bronx-protesters
My blood pressure wouldn't survive a deep dive into this report today - that will probably come this weekend - but I do want to say two things about a couple of the findings, and I will share parts of previous iterations of some of the NYPD training materials referred to
As to this first finding....the NYPD lacked a clearly defined strategy...?
Is that...is that a joke?
The NYPD is massively resourced and was more than prepared to police the protests.
Its strategy and tailored to response to the large-scale protests was ON FULL DISPLAY
Is that...is that a joke?
The NYPD is massively resourced and was more than prepared to police the protests.
Its strategy and tailored to response to the large-scale protests was ON FULL DISPLAY
Simply crediting "NYPD officials" who said that the protests "surprised them" such that they created the problem that the NYPD was not at first able to deploy enough police officers (??) really helps highlight some of the massive limitations of a City agency report like this
So do statements like these, which only make sense in a make-believe world where the NYPD's hats-and-bats responses aren't baked in, and where non-"disorder control" responses exist in a meaningful way. People on the streets could have told the DOI they do not.
Speaking of "disorder control", the DOI finds that the NYPD deployed officers who lacked sufficient/recent protest policing-related training, summarizing some of the relevant training rather than providing the substance.
DOI should publish the relevant training materials...
DOI should publish the relevant training materials...
...so people can judge for themselves the extent to which they address anything other than "disorder control" tactics in a meaningful way.
Although I don't have access to very recent training materials, a few years ago, I deposed high-ranking NYPD officials on these topics...
Although I don't have access to very recent training materials, a few years ago, I deposed high-ranking NYPD officials on these topics...
...related to an Occupy Wall Street lawsuit, and from that and other litigation, there is a publicly available snapshot of what the NYPD's training regarding policing First Amendment assemblies looked like 6 months into the OWS protests
Depositions of NYPD officials designated by the City in my OWS case to testify on the above topics; a related @wylielawfirm deposition; and some of the underlying NYPD First Amendment assembly policing/disorder control training documents, are here: https://www.dropbox.com/sh/y18selkhl3cc5mj/AADxX9R_n23jHlo8PA_ebn9Oa?dl=0
This document provides a roadmap of what the exhibits contained in the folder, many of which are referred to in the depositions, are: https://www.dropbox.com/s/bbucbs9d3z6u5kq/2019-5-9%20GOO%20Declaration.pdf?dl=0
Setting aside the state of the relevant NYPD training in late-2011 and thereabouts for a minute, below is the DOI finding from the report, followed by the contents of the substantive point in the report that supports the findings (at pp. 56-63):
The point begins: There's NYPD Police Academy training for recruits and in-service training related to protest policing and disorder control, and "[m]uch of" even the "expanded training" given *after* the Floyd protests focuses on "a disorder control approach to policing" them
After noting the NYPD Academy has no "specific course on policing protests" - which speaks volumes in and of itself - the report mentions some of the topics covered in the NYPD Academy training related to "disorder control", which is "conducted by the Disorder Control Unit"
The descriptions of the relevant NYPD Academy training read to me as if they were copied from the NYPD Police Academy course catalogue or NYPD materials designed to hype the programs without really describing the substance of the training in any meaningful way...
The descriptions of the relevant NYPD in-service training, including the NYPD Strategic Response Group training, that follow in the report are also limited to listing training topics and very general descriptions that do not really describe the contents of the training...
Similarly, although the report mentions in two sections expanded NYPD training after the Floyd protest, including "a four-hour module on disorder control concepts" for some command-level officers, the DOI says it only had access to a "PowerPoint associated with" the training...
...then goes on to describe the contents of the PowerPoint in very general terms that make it clear the most recent, post-Floyd trainings are, at bottom, the same, old scripts the Disorder Control Unit has been using, and training NYPD members to use, since its inception
At this point it bears mentioning again that the folder I linked to earlier contains previous iterations of some - many - of the NYPD Academy and in-service training documents referred to in the DOI report, as well as several depositions about them: https://www.dropbox.com/sh/y18selkhl3cc5mj/AADxX9R_n23jHlo8PA_ebn9Oa?dl=0
...turning back to the final section of the DOI report related to the NYPD's First Amendment policing/crowd control-related training (at 61-63), despite a few mentions of the focus on "disorder control" rather than some concept of protest facilitation, it says...
...little-to-nothing about the problems with the content of the NYPD's current training, beyond saying that it focuses on "Disorder Control", or the lack of training about -- whatever the DOI imagines a "non-Disorder Control" response from the NYPD might be
Beyond that, this section of the report focuses on *NYPD officials'* self-serving justifications about their own purported difficulties, without offering any critical context.
In my opinion, to characterize this as "friendly" to the NYPD would be generous.
In my opinion, to characterize this as "friendly" to the NYPD would be generous.
Then, and throughout the assessment section of this point, there is, for the most part, a focus on the fact that not all NYPD officers have the most recent, or even relatively recent, NYPD training relating to policing protests and/or disorder control...
...in fact, this part of the assessment - again, apparently based on a credulous acceptance of the NYPD's line - almost exclusively (1) points up that not all officers had the most/relatively recent [wildly problematic] training; and...
...(2) describes the notorious SRG as "more disciplined" and "more trained" than non-SRG counterparts, framing SRG training and conduct as the goal before lauding the Commissioner's decision to "expand" training (the 4-hour disorder control training the DOI did not review?)
...
...
Finally, this part of the DOI report says in sum only this on the substance of the current NYPD First Amendment/crowd control policing training: It focuses on "disorder control methods" and "crowd control tactics and physical formations" -- the same recycled core training as ever
Unfortunately, there's very little there in the DOI report describing the nuts and bolts of the NYPD's current disorder control training.
At a minimum, the DOI was in a position to use its NYPD access to provide some transparency as to these trainings, which it did not.
At a minimum, the DOI was in a position to use its NYPD access to provide some transparency as to these trainings, which it did not.
However, there is enough in the DOI report to match up some of the trainings referred to with documents describing earlier versions of the same trainings, which brings me back to these records: https://www.dropbox.com/sh/y18selkhl3cc5mj/AADxX9R_n23jHlo8PA_ebn9Oa?dl=0
These three depositions cover NYPD Police Academy and in-service training on the relevant topics as of around late 2011:
https://www.dropbox.com/s/mucumgozsq5jddv/Ex%2010%20-%202018-3-21%20Deposition%20of%20Shurland%20Marshall.pdf?dl=0
https://www.dropbox.com/s/bkwn9em38bdgf7l/Ex%209%20-%202017-12-14%20Deposition%20of%20Anthony%20Raganella.pdf?dl=0 https://www.dropbox.com/s/vuqaxlpxh9uk6xx/Ex%2012%20-%202018-10-4%20Deposition%20of%20Heather%20Perkins.pdf?dl=0
https://www.dropbox.com/s/mucumgozsq5jddv/Ex%2010%20-%202018-3-21%20Deposition%20of%20Shurland%20Marshall.pdf?dl=0
https://www.dropbox.com/s/bkwn9em38bdgf7l/Ex%209%20-%202017-12-14%20Deposition%20of%20Anthony%20Raganella.pdf?dl=0 https://www.dropbox.com/s/vuqaxlpxh9uk6xx/Ex%2012%20-%202018-10-4%20Deposition%20of%20Heather%20Perkins.pdf?dl=0
The Marshall deposition covers NYPD Academy training related to these topics:
https://www.dropbox.com/s/mucumgozsq5jddv/Ex%2010%20-%202018-3-21%20Deposition%20of%20Shurland%20Marshall.pdf?dl=0
https://www.dropbox.com/s/mucumgozsq5jddv/Ex%2010%20-%202018-3-21%20Deposition%20of%20Shurland%20Marshall.pdf?dl=0
The Raganella deposition covers NYPD training related to these topics:
https://www.dropbox.com/s/bkwn9em38bdgf7l/Ex%209%20-%202017-12-14%20Deposition%20of%20Anthony%20Raganella.pdf?dl=0
https://www.dropbox.com/s/bkwn9em38bdgf7l/Ex%209%20-%202017-12-14%20Deposition%20of%20Anthony%20Raganella.pdf?dl=0
The scope of the testimony in the Perkins deposition, conducted in one of @wylielawfirm 's cases, is described in the deposition: https://www.dropbox.com/s/vuqaxlpxh9uk6xx/Ex%2012%20-%202018-10-4%20Deposition%20of%20Heather%20Perkins.pdf?dl=0
Here's the DOI report's description of the NYPD Police Academy's current "Maintaining Public Order" training:
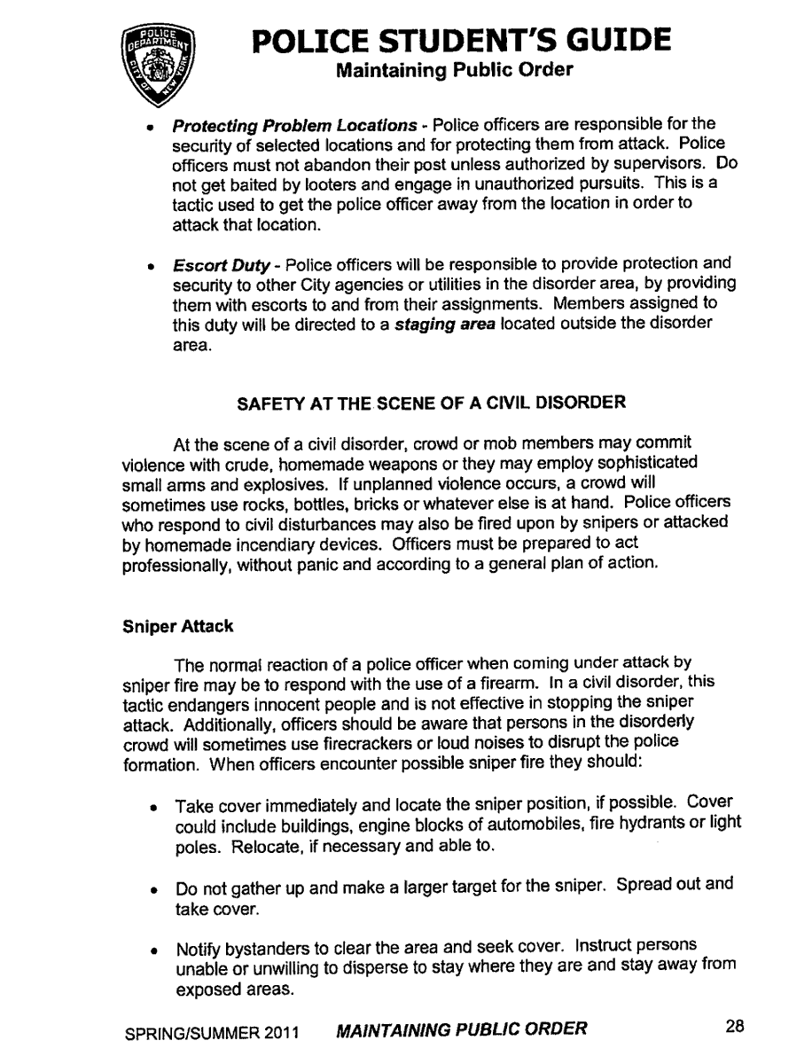
Here's the version of the NYPD Police Academy's Spring/Summer 2011 "Maintaining Public Order" training that was the subject of the Marshall/Raganalla testimony - check starting at around p. 12 for the sections relating to demonstrations and crowd control: https://www.dropbox.com/s/k0xcvkhm0655cj0/Ex%2051.pdf?dl=0
This and the next two tweets include screenshots of the NYPD Police Academy's Spring/Summer 2011 "Maintaining Public Order" training pages 20-30.
20-22 cover topics including:
* The actions of demonstrators
* Violent conduct
* Non-violent conduct; and
* Use of force
20-22 cover topics including:
* The actions of demonstrators
* Violent conduct
* Non-violent conduct; and
* Use of force
23-30 cover "Civil Disturbances and Riots" including such topics as:
* Problem locations
* Disorderly groups
* Characteristics of Disorderly Groups
* Understanding the Causes of Civil Disorder...
...that last one one bears just a little pause to
:
* Problem locations
* Disorderly groups
* Characteristics of Disorderly Groups
* Understanding the Causes of Civil Disorder...
...that last one one bears just a little pause to
:
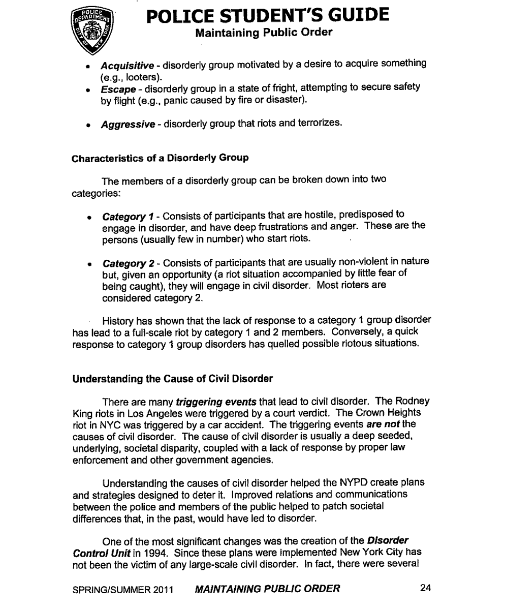
Here's the NYPD's narrative (at least as of 2011) about "civil disorder":
There are "many triggering events."
The two examples given: "The Rodney King" and "Crown Heights riot[s]"
"The cause of civil disorder is usually...
There are "many triggering events."
The two examples given: "The Rodney King" and "Crown Heights riot[s]"
"The cause of civil disorder is usually...
...a deep seeded [sic], underlying, societal disparity, coupled with a lack of response by proper law enforcement and other government agencies..."
Ok, whatever that means, understanding it allegedly improved community relations, at some past point (?), leading to...

Ok, whatever that means, understanding it allegedly improved community relations, at some past point (?), leading to...


...the creation, IN 1994, of the NYPD'S DISORDER CONTROL UNIT!!! - a key player in the relevant training since then and the predecessor to the contemporary Strategic Response Group.
Thanks to the DCU, the training says, "historically, the NYPD was instrumental in maintaining...
Thanks to the DCU, the training says, "historically, the NYPD was instrumental in maintaining...
...order. These events include:..." and then there is a list of 7 "events".
The first of those "events" is: "The shooting of several unarmed African-Americans and the torture of an African-American prisoner, all at the hands of white police officers" with a very telling "Note"
The first of those "events" is: "The shooting of several unarmed African-Americans and the torture of an African-American prisoner, all at the hands of white police officers" with a very telling "Note"
"The shooting of several unarmed African-Americans and the torture of an African-American prisoner, all at the hands of white police officers- Many riots have been triggered by race related police incidents, including the Rodney King assault case, the Washington Heights riots,...
...and the 1935, 1943, and 1964 Harlem riots."
There's just...so much to unpack there. And then, the "Note" emphasizing the purported "justification" of the shooting that "led" to the "Washington Heights riot":
There's just...so much to unpack there. And then, the "Note" emphasizing the purported "justification" of the shooting that "led" to the "Washington Heights riot":
"There was such a division between the city and its people that even the rumor of unjustified actions by the police sparked civil unrest."
"Justified" and "unjustified" doing a lot of different work in this incredible "analysis"
"Justified" and "unjustified" doing a lot of different work in this incredible "analysis"
The 2nd of the 7 "events" the NYPD's late 2011 training cites as an example of successful Disorder Control Unit disorder control training in action was the 2002 World Economic Forum. Here the training touts the NYPD's use of an "old, rarely used" anti-mask law against protesters.
Notable, the NYPD's 2002 WEF policing was enormously problematic and involved some of the same violent and repressive NYPD responses to protests that persist - often in modified form - to this day...
See, for example, this 2006 @jimdwyernyt article:
https://www.nytimes.com/2006/03/17/nyregion/police-memos-say-arrest-tactics-calmed-protest.html
See, for example, this 2006 @jimdwyernyt article:
https://www.nytimes.com/2006/03/17/nyregion/police-memos-say-arrest-tactics-calmed-protest.html
Some of the NYPD's 2002 WEF tactics:
* Massive police resource deployment to have psychological chilling effect
* Pre-emptive seizures of "obvious[] potential rioters"
* The use of such arrests to "set a 'tone'"
* Undercover infiltration, surveillance, and disruption
* Massive police resource deployment to have psychological chilling effect
* Pre-emptive seizures of "obvious[] potential rioters"
* The use of such arrests to "set a 'tone'"
* Undercover infiltration, surveillance, and disruption
...at any rate, compare that reporting - and the wealth of other evidence about the NYPD's protest policing tactics related to the 2002 WEF - with the NYPD's completely uncritical -- no, GLOWING -- description of its pre-emptive policing tactics:
The 3rd "event" the NYPD says it handled well in its 2011 protest policing/disorder control training are the post-1994 "Yankees World Series victories, six Yankees Pennant victories, one Mets Pennant victory, and...Subway World Series"- all "followed by no major incidents"
The 5th such event: 2003 anti-war protests that the NYPD claims "resulted in no major incidents of unrest."
As documented in this @nyclu report, NYPD policing of February 2003 anti-war protests involved tactics including aggressive permit enforcement that led to litigation, and, on the day of a massive February 15, 2003 United for Peace and Justice protest,...
https://www.aclu.org/sites/default/files/FilesPDFs/nyclu_arresting_protest1.pdf
https://www.aclu.org/sites/default/files/FilesPDFs/nyclu_arresting_protest1.pdf
...dangerously limiting access to the protest, trapping protesters in pens, and, in some cases, using NYPD mounted unit horses "forcibly to disperse peacefully assembled demonstrators"
https://casetext.com/case/stauber-v-city-of-new-york-7
https://casetext.com/case/stauber-v-city-of-new-york-7
Also related to those 2003 protests, the NYPD got caught using interrogation and a "Demonstration Debriefing Form" to collect information on the politics of people arrested at anti-war protests, which led to extensive litigation in the Handschu case
https://www.nytimes.com/2003/04/10/nyregion/police-stop-collecting-data-on-protesters-politics.html
https://www.nytimes.com/2003/04/10/nyregion/police-stop-collecting-data-on-protesters-politics.html
...those are just a few examples of why, though it may be correct to say that there were no "major incidents of unrest" from a certain point of view, including the NYPD's 2003 anti-war protest policing as an example of *success* really shows you the conduct the NYPD aspires to
The 6th/penultimate example - the 2003 Blackout.
(Note, the NYPD's pre-2004 Republican National Convention surveillance operations began in early 2003.
So, around this time in 2003, the NYPD had long infiltrated activists planning 2004 RNC protests.)
(Note, the NYPD's pre-2004 Republican National Convention surveillance operations began in early 2003.
So, around this time in 2003, the NYPD had long infiltrated activists planning 2004 RNC protests.)
...which brings us to the final of the just 7 examples the NYPD's protest/crowd control policing-related training as of late 2011 holds up as incidents in which the NYPD, and especially its disorder control strategies, were successful:
The 2004 Republican National Convention
The 2004 Republican National Convention
The 2004 RNC!!
*BRAIN EXPLOSION*
The crucible in which I cut my teeth, fresh out of law school, as a Legal Observer for the @NLGNYCnews, then as a criminal defense attorney doing protest cases, then as a civil rights lawyer litigating for years... https://twitter.com/gideonoliver/status/1230325766585536517?s=20
*BRAIN EXPLOSION*
The crucible in which I cut my teeth, fresh out of law school, as a Legal Observer for the @NLGNYCnews, then as a criminal defense attorney doing protest cases, then as a civil rights lawyer litigating for years... https://twitter.com/gideonoliver/status/1230325766585536517?s=20
Among other things, the total bill to taxpayers in settlements, judgments, and attorney's fees and costs related to the City's nearly decade-long defense of the NYPD's RNC 2004 tactics was ** over 25 million dollars **
The NYPD made over 1,800 arrests between August and September of 2004, including at locations at which protesters were kettled and brutalized
https://www.nyclu.org/sites/default/files/publications/nyclu_pub_rights_wrongs_rnc.pdf
https://www.nyclu.org/sites/default/files/publications/nyclu_pub_rights_wrongs_rnc.pdf
When the last of the major RNC 2004 lawsuits settled in 2014, NYPD Mayor de Blasio reportedly said “we’re going to take a very different view going forward on how we respect people’s rights to express themselves" (see below)... https://twitter.com/harrysiegel/status/1269096868430168064?s=20
Again, it is telling that within these NYPD training materials, which were in use at least in late 2011, most of the examples of NYPD policing of protest activities that are referred to involved enormous police violence and repression, often leading to long and costly litigation
The next sections of the NYPD Police Academy Spring/Summer 2011 Police Student's Guide section on "Maintaining Public Order" (pages 26-30) relate to:
* Rapid, controlled response
* Team assignments
* Police safety; and
* "Overview of Civil Disorder"
* Rapid, controlled response
* Team assignments
* Police safety; and
* "Overview of Civil Disorder"
These sections of the "Maintaining Public Order" training materials, like the majority of the rest of the NYPD's protest policing/crowd control-related training, focus on the same repressive disorder control model that accompanied the Disorder Control Unit's foundation in 1994
Here are the NYPD's Disorder Control Guidelines -- the Torah, if you will, of the NYPD's Disorder Control Unit, and its disorder control, and protest policing, response strategy, since the mid-1990's: https://www.dropbox.com/s/57307yckhijcheh/Ex%2037.pdf?dl=0
One of the key objectives in the Disorder Control Guidelines is to "Disperse and Demoralize Disorderly Groups":
"The police commander must rapidly deploy forces and utilize equipment that will quickly demonstrate the Department's unwavering determination to restore order"
"The police commander must rapidly deploy forces and utilize equipment that will quickly demonstrate the Department's unwavering determination to restore order"
"...The arrest of violators and the repeated dispersion of unlawful groups will demoralize the crowd's will to resist lawful police orders. Lawful demonstrations or marches must be provided police escorts...
...that will demonstrate the Department's resolve to protect the right of dissent while providing for public safety."
Much of the remainder of the Disorder Control Guidelines diagram and outline the sorts of militarized, physical dispersal tactics we see on today's NYC streets
Much of the remainder of the Disorder Control Guidelines diagram and outline the sorts of militarized, physical dispersal tactics we see on today's NYC streets
Read on Twitter