I just got the Pfizer-BioNTech vaccine, here’s why you should too when you can. #CovidVaccine #MedTwitter @DellMedSchool @uthealthaustin
The vaccine has been studied for 2 months in volunteers which is the timeframe in which the vast majority of severe symptoms happen. By the time the vaccine is widely available to young healthy Americans, we will have much more data
But I already think it’s very safe and the benefits far outweigh the risks based on data from the phase 2/3 study with over 37,000 participants studied in 5 different countries including the U.S.
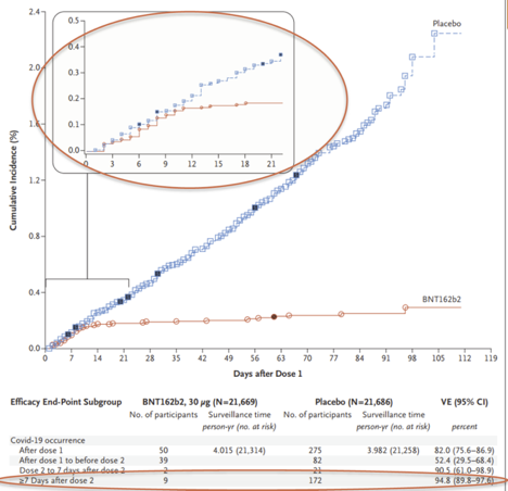
The FDA board voted overwhelmingly to approve an emergency authorization based on efficacy and safety data. Here’s why: it’s crazy effective. The data below shows new Covid cases rise in placebo group as new cases plateau after 7-10 days in vaccinated group.
Symptoms after vax, which are part of an expected immune reaction rather than ‘side effects’, are usually minor. Most common symptoms: pain at injection site (84%), fatigue (63%), headache (55%), muscle pain (38%), chills (32%), joint pain (24%), and fever (14%).
In all categories, most of these symptoms were mild and <1% of symptoms were graded as severe in all categories except for fatigue which was severe in 2.8% of people after the second shot. https://www.cvdvaccine-us.com/images/pdf/fact-sheet-for-hcp-administering-vaccine-vaccination-providers-full-eua-prescribing-information.pdf
I'll be tracking my symptoms on teh CDC's after vaccination health checker. I'm excited to be in this first wave toward curbing suffering and returning us to normalcy.
You can follow @alizanorwood.
Tip: mention @twtextapp on a Twitter thread with the keyword “unroll” to get a link to it.

Latest Threads Unrolled:

By continuing to use the site, you are consenting to the use of cookies as explained in our Cookie Policy to improve your experience.