Updated my SA COVID-19 model with excess deaths reported on Wed (covering the period up to 1 Dec). This is particularly relevant this week as to that point the 2nd wave has not resulted in rises in excess deaths in many provinces. There are 54 000 excess deaths to 1 Dec.
The model is calibrated to ~90% of excess deaths only, which means it is not projecting 2nd waves yet in many provinces including GP and KZN which has seen sharp rise in cases.
The model does pick up the rise in excess deaths in EC and calibrates to them reasonably well.
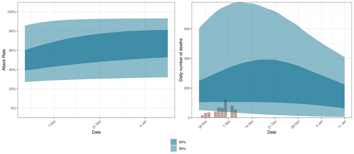
Based on the above the model is projecting an increase in the attack rate and also a high numbers of deaths per week (blue shaded areas). Reported deaths (brown) are shown but are incomplete. The model is projecting daily deaths to peak before end of the month in EC.
By the end of December EC could have an attack rate over 50% and more than 20 000 COVID-19 deaths. More if increases in mobility and travel results in higher contact rates. Less if there is a meaningful response to the rise.
WC also has rising excess deaths and results in a projection similar to EC but with daily deaths increasing for longer and the attack rate being lower.
By the end of December WC could have an attack rate over 45% and more than 10 000 COVID-19 deaths. Again this could be impacted by changes in behaviour/interventions.
For SA as a whole the model is predicting 70 000 deaths by end of the month, but we should note that this is without predicting second waves in provinces other than EC and WC. So could well be underestimated.
As always the modelling targets 90% (on average) of excess deaths as due to COVID-19 hence all projections use that as a reference. COVID-19 deaths as reported in media is significantly underreported in most provinces.
Lastly there is significant uncertainty in modelling. Read more here if you are interested: https://lrossouw.github.io/covid-19/modelling_covid-19_in_south_africa_at_a_provincial_level.html
You can follow @lrossouw.
Tip: mention @twtextapp on a Twitter thread with the keyword “unroll” to get a link to it.

Latest Threads Unrolled:

By continuing to use the site, you are consenting to the use of cookies as explained in our Cookie Policy to improve your experience.