Corruption, Grift, Crazy and Shame... A story on the shitshow that is @NVGOP. It’s a common thread
1.) Deny the pandemic
2.) Align with alt-right domestic terrorism
3.) Endanger the public
4.) GRIFT and PROFIT from the public health crisis you are making worse.
Let’s begin:
1.) Deny the pandemic
2.) Align with alt-right domestic terrorism
3.) Endanger the public
4.) GRIFT and PROFIT from the public health crisis you are making worse.
Let’s begin:
I present to you, @leoblundo - Nye County (Pahrump) commissioner:
He’s been arrested for public corruption.
Why? He used CARES act money that HE voted for:
Blatantly illegal. https://twitter.com/pvtimes/status/1331967648523927552
He’s been arrested for public corruption.
Why? He used CARES act money that HE voted for:
Blatantly illegal. https://twitter.com/pvtimes/status/1331967648523927552
BUT the threads are the same! Who is representing BLUNDO (spokesperson)??? You won’t believe how sloppy they are! It’s @LMDLasVegas - The same republican consultant who represents @StavrosAnthony !!!
GRIFT GRIFT GRIFT GIFT All the way down.
GRIFT GRIFT GRIFT GIFT All the way down.
BLUNDO also ran for congress in NV04 - I haven’t had a chance to look at his financials but MAN do I bet I am going to find some interesting shit.
Anyways, as an ardent member of @NVGOP BLUNDO takes the same stance on issues of the Pandemic you’ve come to expect.
Anyways, as an ardent member of @NVGOP BLUNDO takes the same stance on issues of the Pandemic you’ve come to expect.
Stuff like.... you know... his wife @melissanicole74 advocating apparent action against the Governor? Maybe that’s not the right word... This is the slippery slope that we say in Michigan. These are NOT PATRIOTS
That was step one. DENY THE PANDEMIC.
That was step one. DENY THE PANDEMIC.
Let’s not forget this little gem:
The message here is pretty clear in terms of the viewpoints of Family BLUNDO. And... what is scary is that a LOT of people seem to agree with this bullshit.
If you are paying attention. This was step two.
The message here is pretty clear in terms of the viewpoints of Family BLUNDO. And... what is scary is that a LOT of people seem to agree with this bullshit.
If you are paying attention. This was step two.
Then, there is make the pandemic worse!
The BLUNDER’s ... I mean BLUNDOS are aligned with a PAC in Nevada called the “No Mask Nevada” PAC.
How do I know? EASY. Public records



Note the oddly terrifying statement of purpose:
“Protect Freedom and Business from Gvt”
The BLUNDER’s ... I mean BLUNDOS are aligned with a PAC in Nevada called the “No Mask Nevada” PAC.
How do I know? EASY. Public records




Note the oddly terrifying statement of purpose:
“Protect Freedom and Business from Gvt”
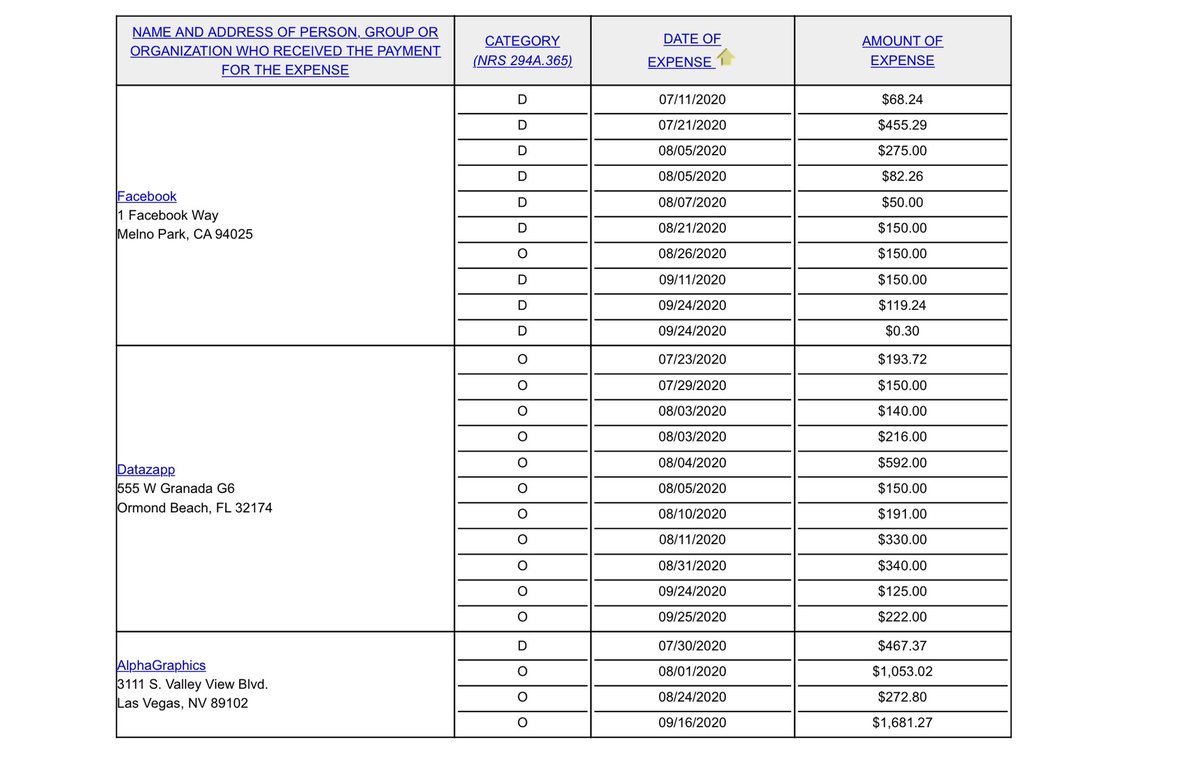
There’s some reeeeeaaaalllly sketchy spending here... almost $8k difference between reported contributions and expenditures. If I were (cough cough) say ... a Sheriff in Pahrump.... I would also look into that. But also... Lot’s of Facebook fuckery.
My advice to @melissanicole74 would be, tighten up them finance reports. Get a good lawyer. Anyways....The obvious effort of this PAC is to generally harass @GovSisolak - That’s the “Make the Pandemic Worse” part of the scheme.
Here they are, literally dangerous.
Here they are, literally dangerous.
So... After you’ve spent all that time GRIFT GRIFT GRIFT ... DENY DENY DENY - what do you do?
Easy, profit from the Pandemic.
Which is where @leoblundo has been charged. Taking CARES act money on a line item HE VOTED FOR and applying for more. THE VERY BEST PEOPLE
Easy, profit from the Pandemic.
Which is where @leoblundo has been charged. Taking CARES act money on a line item HE VOTED FOR and applying for more. THE VERY BEST PEOPLE
Read on Twitter