1/N High Altitude Hematology! For starters it’s been known since the 1870’s that red cell counts rise with altitude as in this study PMID: 3897179
2/n This rise in counts turns out to be sensitive to altitude. A study in Blood of over 100,000 Swiss men showed hemoglobin is closely related to altitude with significant changes with every 300m increase in altitude! The authors termed this “Hemoglobinography”(PMID: 32043119)
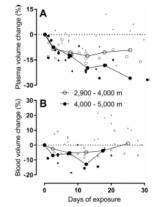
3/n What’s interesting is there are two phases to the increase –first response within hours of hypoxia isdiuresis resulting in plasma volume falling leading to hemoconcentration. This is a rapid response to hypoxia that increases blood’s oxygen carrying capacity (PMID: 28572493)
4/n Then over time red cell volume rises dependent on final altitude (PMID: 28572493)
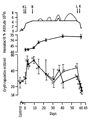
5/n This increase in red cell count is driving by a sharp rise in serum erythropoietin which rapidly rises at first and remains elevated throughout the stay at altitude (PMID: 3897179)
6/n And of course the advantage of this higher hemoglobin is a preservation of blood oxygen carrying capacity at altitude ( https://doi.org/10.1007/s42978-019-00044-2 )
7/nNow lets talk about Iron at altitude! Turns out iron has a role in response to hypoxia more than helping to build red cells as it also plays a role in the hypoxia inducible factor (HIF) pathway.
8/n Recall normally the HIF protein is very short lived but under hypoxic conditions is stabilized inducing a wide variety of adaptions to hypoxia. Iron deficiency both induces HIF gene upregulation (PMID: 23395174)
9/n Also iron is needed for the function of PHD which targets HIF for destruction so less iron less PHD and more HIF. (PMID: 1253760)
10/n But too much HIF may not be a good thing! Tibetans have a mutation in the HIF pathway that blunts the response to hypoxia and may be responsible for their amazing ability to adapt to altitude!
11/n And this is a very old mutation – it was acquired from Denisovans – a human ancestor who lived 30,-400,000 years ago. (PMID: 25043035). And the higher where people live the higher frequency of the Denisovan haplotype (PMID: 26883865).
12/n But back to iron! Absorption of iron is increased at altitude and this is mediated by a hypoxia-induced suppression of hepcidin. As you recall high levels of hepcidin suppress iron absorption so its suppression allow for an increased absorption of iron.
13/n Hypoxia is a very strong suppressor of hepcidin even in the presence of inflammation or increased iron stores. (PMID: 22130801)
14/n Interestingly another source of iron to support altitude erythropoiesis is muscle iron! Robach showed that hypoxia decreased muscle ferritin & upregulated the iron export protein ferroprotein perhaps iron can be exported from the muscle in hypoxic conditions PMID: 17311997
15/n And since Fe is so important to going to the mountains there is benefit of supplementing people with decreased stores.
16/n. Govus showed in athletes with low iron stores that supplmentions with going to altitude (1,3-3,000m) improved hemoglobin response 1.1% ->3.3% and 4.0% plus help iron stores (PMID: 26263553)
17/n And Okazaki showed in a very rigorous study that low iron stores impaired response to altitude and iron supplementation improved both blood and exercise at altitude. (PMID: 31670602)
18/n Finally, a provocative study even implied iron could prevent acute mountain sickness! This study gave folks going to altitude 200mg of IV iron sucrose and showed a dramatic reduction in AMS at 4340m as judged by the Lake Louis Score. (PMID: 21962070)
19/19 Enough for today but soon we will talk about the most elegant blood mechanism for adjusting to altitude/hypoxia 😎
You can follow @Bloodman.
Tip: mention @twtextapp on a Twitter thread with the keyword “unroll” to get a link to it.

Latest Threads Unrolled:

By continuing to use the site, you are consenting to the use of cookies as explained in our Cookie Policy to improve your experience.