New paper @JEcology 
We quantify the ball-and-cup #Resilience model for a #SaltMarsh, use acute disturbance and chronic stress to reveal alternative states ( #Mudflat), then we map those states across the landscape!
https://onlinelibrary.wiley.com/share/author/EHH2NCVPSU7URIB6WBGD?target=10.1111/1365-2745.13552
We used well-studied flooding gradients in #CoastalWetlands as our chronic stress gradient.
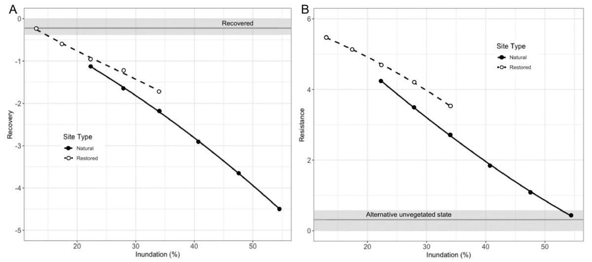
Flooding decreases function until #Marsh becomes #Mudflat. We hypothesized that if you add #Disturbance, #Marsh can transition to alternative state somewhere along gradient...
Flooding decreases function until #Marsh becomes #Mudflat. We hypothesized that if you add #Disturbance, #Marsh can transition to alternative state somewhere along gradient...
To test this idea, we first set up disturbance-recovery experiments along flooding gradients in the field mimicking a top-kill (like wrack deposition). We tracked recovery and recovery rates of several plant metrics (with much help!).
Then instead of using a single metric, we used those field data to create #Hypervolume simulations, which were multivariate shapes representing the plant community at different points along our flooding gradient
By comparing disturbed, undisturbed, and alternative state hypervolumes, we calculated multivariate resilience along the flooding gradient (at a specific time)
We found that chronic flooding stress reduced #Belowground plant biomass, which directly impacted recovery after acute disturbance.
Simulated communities flooded > 52% and < 65% of the time exhibited state change, going from vegetated to mudflat after a single disturbance
Simulated communities flooded > 52% and < 65% of the time exhibited state change, going from vegetated to mudflat after a single disturbance
Because of this tight relationship, we then applied our resilience metrics to spatial data to map where alternative states may exist on the landscape!
~50% of the area was vulnerable to state change after a single disturbance, especially interior pond edges
~50% of the area was vulnerable to state change after a single disturbance, especially interior pond edges
Bottom line, we think this approach holds promise for quantifying and mapping resilience and where alternative states exist beyond salt marshes, and I hope you find it useful!
I'm always happy to provide a copy so DM me if you don't have access.
https://onlinelibrary.wiley.com/share/author/EHH2NCVPSU7URIB6WBGD?target=10.1111/1365-2745.13552
I'm always happy to provide a copy so DM me if you don't have access.
https://onlinelibrary.wiley.com/share/author/EHH2NCVPSU7URIB6WBGD?target=10.1111/1365-2745.13552
This was my last diss chapter and I can't tell you how pleased I am to see it out in the world... So many people helped make it possible (especially co-authors @ErikYando @wryanjames @ClimateSciGuy Camille Stagg and Mark Hester) and I'm so grateful!
Read on Twitter