#Tweetorial below: I'm pleased to announce the publication of our study in @JournalASEcho ( https://bit.ly/35oyWUl ), led by Coco Fraiche. Credit to co-authors Warren Manning, Sherif Nagueh, @michaelleemain, and Larry Markson.
2/ Ultrasound Enhancing Agents (UEAs) are micro bubbles with permeable shells containing a high molecular weight gas, used intravenously for #echofirst endocardial border delineation.
3/ @ASE360 guidelines recommend use ( https://bit.ly/3ioYyo4 ) for suboptimal image quality based on multiple studies safety and efficacy in technically challenging settings.
4/ Specifically, UEAs have been shown to decreased downstream utilization of diagnostic testing + procedures, thus saving ~$122/patient + resulting in more diagnostic quality images. https://bit.ly/33w5p91
5/ UEAs are currently given on a "case by case" basis based on unenhanced image quality. However, the need to assess images may lead to time delays in obtaining and administering UEAs due to insufficient numbers of available trained personnel to place IVs.
6/ This is especially the case in outpatient settings that may lack the time or resources to start an IV. Therefore, an algorithm to identify a priori who may benefit from UEAs could improve workflow, increase UEA use, and decrease suboptimal image quality.
7/ In our study, we screened 173,323 TTEs on 98,814 patients, 2000-2018 @BidmcCvi, excluding TTEs with apical dysfunction, hypertrophy, or LV thrombus.
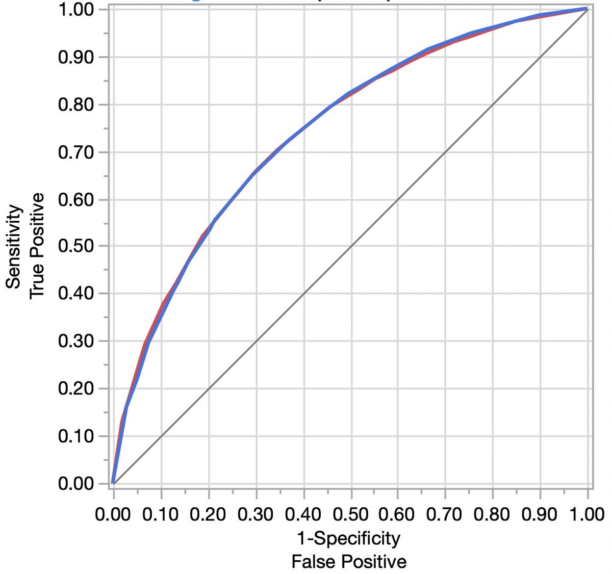
8/ We first looked at trends in UEA and suboptimal image quality over 18 years. A total of 2.6% of TTEs received UEAs despite suboptimal image quality in 16.6%. UEAs were used in 7.7% of suboptimal studies vs. 1.6% of adequate quality TTEs (p < 0.001)
9/ From 2000 to 2018, while UEAs (blue) increased by 0.29%/yr, suboptimal image quality (red) also increased by 0.32%/yr (p = 0.98), driven by increases in mean patient BMI. An inflection (3x increase) was noted after 2008 when black box safety warnings were relaxed.
10/ Those receiving UEAs were older, more frequently male (?reasons for discrepancy), and more frequently done on ICU patients (6.3% CCU, 4.0% MICU, 5.2% SICU), and for indications of abnormal ECG or chest pain. BSA & inpatient status were the most important univariate predictors
11/ We then aimed to develop a prediction rule to predict the composite of UEA use or suboptimal image quality (i.e. potential need for use) in our dataset.
12/ We randomly split the dataset into a 75% derivation cohort (69,218 TTEs) and a 25% validation cohort (23,073 TTEs). All variables known to someone pre-image acquisition were initially included but sequentially removed for parsimony if the C-stat dropped < 0.1 with removal.
13/ The final model with only 3 predictors: age, weight, & HR, had a excellent performance in the validation sample (c-statistic of 0.74 and calibration slope of 1.11 (intercept -0.014). Use of more complex #MachineLearning did not improve prediction.
14/ Thus, what can we conclude? 1) despite compelling indications for use, UEA use for TTE remains low; 2) even among those with suboptimal image quality, UEA use was lower in females; 3) weight and inpatient status were the most important predictors of the composite endpoint
15/ 4) Among outpatients, a simple model using only 3 variables (age, weight, HR), all available pre-TTE image acquisition, predicted the composite endpoint with very good accuracy.
16/ If externally validated (ongoing), this could be used (as part of a web-based or app-based calculator or integrated into the EHR) to identify a priori individuals at sufficiently high probability of benefiting from UEAs as to need an IV upfront.
17/ Thus, these individuals could have IVs placed prior to scanning to improve workflow. Importantly, this rule is not meant to be proscriptive and UEA use should be based ultimately on assessment of #echofirst image quality.
18/ However, this rule could help identify who may need IVs upfront to streamline workflow in busy #echofirst labs. Further work is necessary to understand other reasons for underutilization, particularly disparities identified in use of UEAs for females.
19/ Thank you for reading and please share these results with your colleagues. FIN. @ASE360 @onco_cardiology @DavidWienerMD @purviparwani @iamritu @LucySafi @AkhilNarangMD @DrMarthaGulati @MasriAhmadMD @GWhalleyPhD @strain_rate @mswami001 @VLSorrellImages @CoronaryDoc
@ErinMichos @ucsf_echo @edwardagill @HeartOTXHeartMD @FostelloS @EGarciaSayan @GregTatum9 @JGrapsa @JudyHungMD @jameschilee @JamesDThomasMD1 @kfaridiMD @OKhaliqueMD @lpbadano @LanqiHua @robertomlang @SLittleMD @Sugeng_Lissa @dr_benoy_n_shah @nicoa002 @NadeenFaza @donoxorn
Read on Twitter