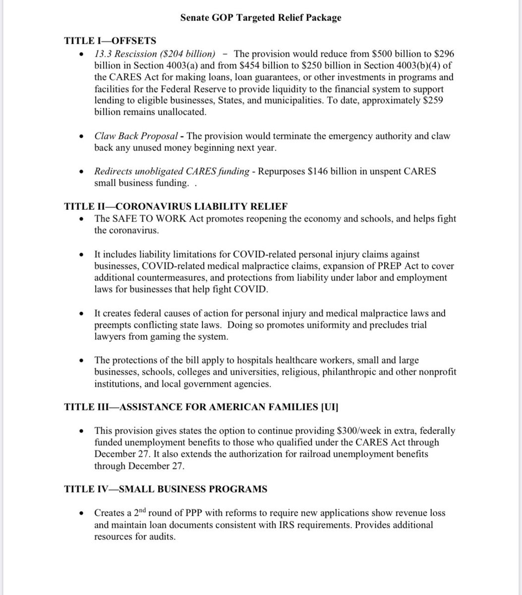
It would essentially codify Trump executive order on jobless benefits. It also would provide two years of tax credits for people to use for private schools (a school choice plan promoted by Cruz and others), would extend PPP by $257B, provide $16B for testing, $105B for schools.
You can follow @mkraju.
Tip: mention @twtextapp on a Twitter thread with the keyword “unroll” to get a link to it.

Latest Threads Unrolled:

By continuing to use the site, you are consenting to the use of cookies as explained in our Cookie Policy to improve your experience.