Another report showing how f….. poor we are managing our Rivers. So here is a #thread about why the major problem are Barriers, what is the ultimate solution (and it is EASY).
https://www.theguardian.com/environment/2020/jul/27/migratory-river-fish-populations-plunge-76-in-past-50-years.
https://www.theguardian.com/environment/2020/jul/27/migratory-river-fish-populations-plunge-76-in-past-50-years.
A major part of the problem is mankind’s stupid idea that we can keep building barriers and think everything will remain unchanged. Often there is a focus on larger dams, but smaller dams are an order higher of magnitude in terms of numbers. https://amber.international/our-research-finds-at-least-100000-obsolete-barriers-are-fragmenting-and-deteriorating-europes-rivers/
Negative effects of barriers are many and well documented - destruction of habitat, blockage of fish passage, direct mortality and many others. A technical solution to improve fish passage is nowhere near ENOUGH. It is the road to hell
So what is the only real solution??? JUST COMPLETELY REMOVE THEM, IT IS THAT EASY. In Denmark, we have strongly recommended removing barriers for over 20 years. We know what we are talking about! This is why we still recommend removal today – even stronger.
Our prime species are anadromous salmonids. They are perfect indicator species for river health, because of their high environmental demand. If anadromous salmonids are doing great, so is the whole river.
So what happens when you remove a barrier from a river. Well on a local scale we see an immediate effect with a massive increase of juvenile salmonids after removal ( https://doi.org/10.1016/j.jenvman.2017.09.022), and not only at the particular site, but in fact extending much further downstream.
On a larger river scale, removal of a barrier generates an increase in juvenile salmonid at all sites made accessible also upstream ( https://doi.org/10.1016/j.jenvman.2020.110408). A) Sites made accessible by barrier removal B) Sites NOT made accessible.
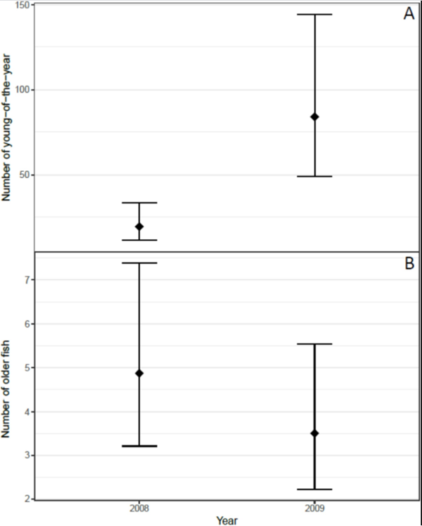
On a whole river scale, migrating salmonids increase ( https://doi.org/10.1002/rra.3271). In this small river, we have measured 1 adult sea trout for every 4 m of river (250 adults/km). Year 2004, all barriers in place, 2008 + 2009, lowest barrier removed, 2015 + 2016 all barriers removed
This is also one of the major causes that Denmark is the only country where anadromous salmonid populations are showing an increase ( https://doi.org/10.1111/fme.12385) Black Line - Danish River Skjern compared to development in other countries (other line colors).
Documentation is overwhelming – LETS GET TO WORK! Thank you for make it down here and following, take a break and listen to “River flows in you” by Yiruma: before you go out and make the world a better place by showing rivers some love.
Read on Twitter