Going to briefly discuss a new SARS-CoV-2 preprint by the FDA, whose senior author said "was intended to investigate something that could only have happened in a laboratory" according to their South China Morning Post interview.
The SCMP article asserts that, because inserting the S1/S2 FCS (PRRA) into RaTG13 (a bat CoV) damages its ability to infect cells, this "may cast doubt on a theory that the virus originated in a Chinese laboratory".
The implication here is that, if adding PRRA to a bat virus makes it less able to infect different species, why would scientists add the PRRA to create SARS2?
Regardless of the Liu et al. FDA preprint, we already know that this PRRA FCS makes SARS2 much more virulent from this peer-reviewed study that uses actual SARS2 virus (not pseudotyped virus) in an animal model of COVID-19 disease. https://www.ncbi.nlm.nih.gov/pmc/articles/PMC7241555/
So I'd say that the PRRA insertion, whether natural or artificial, conferred considerable gain of function to SARS-CoV-2 in the context of infecting living animals/humans.
The 2nd thing to note is that pseudotyped virus experiments in cells produces results that do not accurately reflect this biology seen in animals. Zhang et al. Scripps preprint: the pseudotyped virus with a spike missing the FCS works 10x better (Fig 1D). https://www.biorxiv.org/content/10.1101/2020.06.12.148726v1
Several studies have corroborated that the FCS seems to be less useful in the context of common cell assays/passaging. When SARS2 virus isolated from patients are subjected to passaging in Vero (monkey kidney) cells, the FCS is commonly lost.
What this means is that these particular cell studies don't tell you about the FCS (PRRA) function or importance in the context of actual animal/human infection.
Problematically, the FDA preprint uses precisely these cell assays to study said FCS (PRRA). So, the points above need to be kept in mind when interpreting the data in the paper.
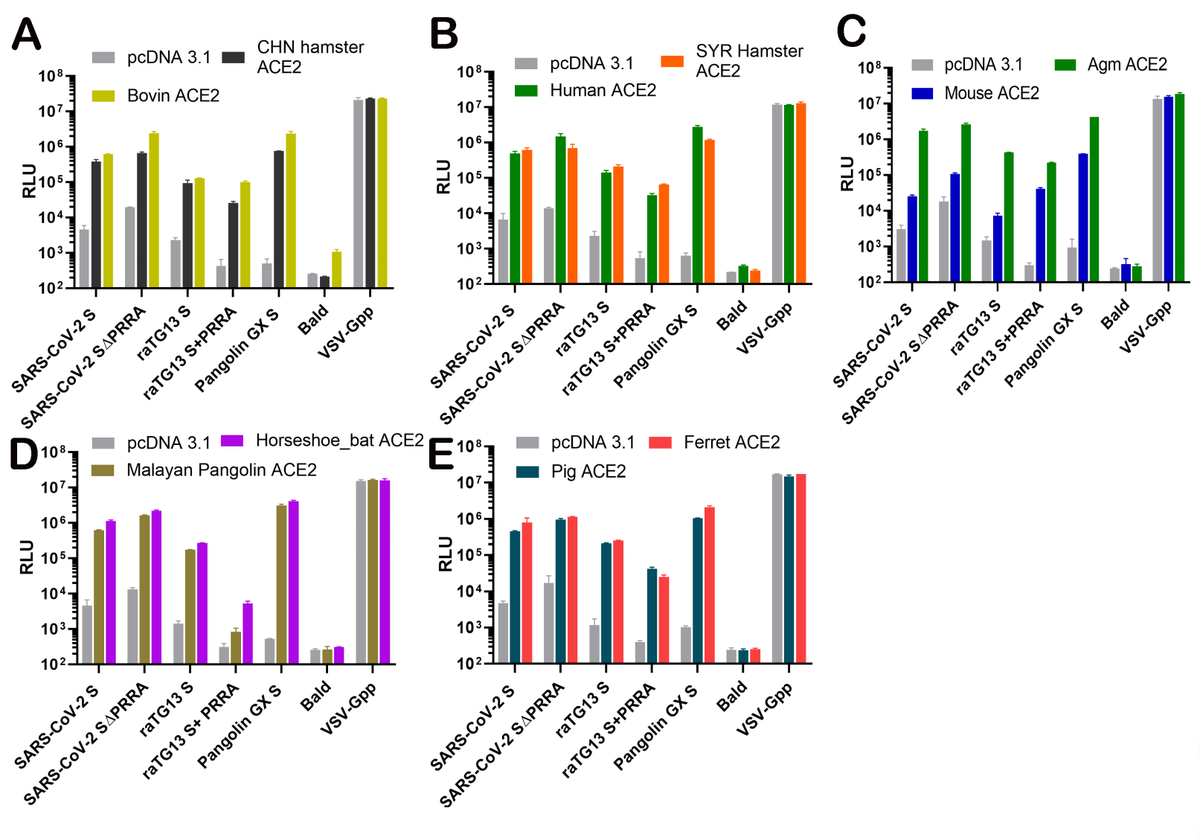
Nonetheless, the experiments in this preprint are impt and the final conclusions are well supported: "spike proteins from all three viruses, SARS-CoV-2, bat CoV raTG13, and CoV-pangolin/GX, have the potential to mediate entry using ACE2 from multiple animal species"
"The PRRA insertion selectively allows SARS-CoV-2 to infect human lung cell line Calu-3"
PRRA resulted in "unexpected altered dependence of raTG13 Spike on ACE2 of three species."
PRRA resulted in "unexpected altered dependence of raTG13 Spike on ACE2 of three species."
As expected, removing PRRA results in loss of cleavage of SARS2 spike, and adding PRRA increases cleavage of bat RaTG13 spike (Fig 2B). However, they test the function of these spikes (alone without the rest of the virus) on hACE2-293T cells - which favor SARS2 spike sans PRRA.
One important point to note from Fig 2B is that, in contrast to SARS2, the bat RaTG13 spike can already undergo efficient S1/S2 cleavage without the PRRA insertion. So, the interpretation gets even more complicated, it's now not about +/- cleavage but about +/++ cleavage.
In that sense, I don't think the comparison between SARS2(+/- PRRA) and RaTG13(+/-PRRA) is straightforward. Simply because the addition of PRRA means different things for each of these spikes.
What this means, to the layperson, is that giving SARS2 the PRRA FCS conferred a previously non-existent ability. Whereas giving the bat virus the same insert only added to an already existing ability.
Imagine that SARS2 without the FCS (PRRA) is like a plane without wings. Giving SARS2 the FCS is like adding wings so that it can fly in the sky. In comparison, the bat CoV already had wings and the ability to fly, adding the FCS was like making its wings bigger.
Let's keep looking at the data: Liu et al. tested the spikes in pseudotyped viruses (again, not actual SARS2 virus) on 293T (human kidney) +/- hACE2, Calu-3 (human lung), Caco-2 (human intestine) cells (Fig 3). And here we even see the proof...
... that losing the PRRA makes SARS2 ~10x more infectious in 293T kidney cells (Fig 3A; note the log y-axis). This is in total contrast to what we see in animal models (Lau et al. PRRA is needed for virulence) and in humans (the PRRA is likely under selection in humans).
Interestingly, losing the PRRA hurt SARS2 spike pseudotyped virus ability to infect lung cells. Although the converse was true for RaTG13.
The takeaway is that S1/S2 cleavage is impt for SARS2 pseudotyped virus infection of lung cells. Too much cleavage seems to impact RaTG13.
The takeaway is that S1/S2 cleavage is impt for SARS2 pseudotyped virus infection of lung cells. Too much cleavage seems to impact RaTG13.
Finally, in the last figure, again an experiment performed in 293T cells outfitted with ACE2 receptor from different animals (from before and here again shown not to depend on S1/S2 FCS function even in SARS2)...
Noting again the log y-axis, you see the SARS2 minus PRRA outperforming the SARS2 with PRRA (the strain that is responsible for the pandemic) with every ACE2 receptor. So imo this assay doesn't accurate biologically for assaying the impact of the S1/S2 FCS in animal infection.
What this figure does tell us, as the authors summarize, is that the spikes from SARS2, RaTG13, and the GX pangolin CoV can enable pseudotyped virus to infect human kidney cells presenting ACE2 receptor from a broad range of animals.
How to interpret the addition of PRRA to RaTG13 is unclear because (1) the cell assay doesn't even favor S1/S2 cleavage and (2) RaTG13 was already capable of S1/S2 cleavage without the PRRA.
To be constructive, the fairer comparison would be if the authors knockout S1/S2 cleavage in RaTG13 (e.g., mutate the R), and use that as a point of comparison with SARS2 minus the PRRA (or with the downstream R mutated). They would still need to change the 293T-ACE2 cell assay.
Analogy attempt: It would be like comparing the Math abilities of students from 2 classes, but using an English test instead of a Math test. And to compound the issue, one class already took advanced Math and doesn't need the Math supplement.
And the SCMP takeaway could be likened to: Giving a Math supplement to the advanced Math class hurt their ability to perform an English test. This is evidence that schools wouldn't give the Math supplement to the non-advanced Math class.
The main thing I learnt from this is that scientists and journalists need to spend more time talking to each other so that they can properly communicate the caveats of research findings to each other and to the public.
Here's the preprint by scientists from the FDA (forgot to post in first tweet): https://www.biorxiv.org/content/10.1101/2020.07.20.213280v1.full.pdf
The coolest finding is actually that the spike of the bat CoV RaTG13, most closely related to SARS-CoV-2, undergoes S1/S2 cleavage. Whereas that of GX pangolin doesn't. Maybe the FCS should be inserted into the spike of the GX pangolin as a better point of comparison to SARS2...
Scientists have followed this train of thought as early as 2006: what happens if you add an S1/S2 FCS into (SARS)CoVs that don't have it?
Most people, especially up until recently, don't consider these experiments to be Gain of Function. https://www.ncbi.nlm.nih.gov/pmc/articles/PMC7111780/
Most people, especially up until recently, don't consider these experiments to be Gain of Function. https://www.ncbi.nlm.nih.gov/pmc/articles/PMC7111780/
For instance, RaTG13 wasn't known to infect human cells (until recently), and a SARS2-like CoV without the S1/S2 FCS would've been highly attenuated (almost no symptoms in animals). Scientists adding+testing an S1/S2 FCS in the latter wouldn't expect an outbreak.
SARS2 without the FCS: "attenuated in the hamster infection model, causing no bodyweight loss, much milder disease and displaying lower virus replication levels in the lungs." Also, infecting hamsters (only a few though) did not restore the FCS in SARS2. https://www.ncbi.nlm.nih.gov/pmc/articles/PMC7241555/
Read on Twitter