1/ The additional mask requirements put in place by @GovernorTomWolf’s whack-job health secretary yesterday leave little doubt that Wolf is a maniacal tyrant. The PA Assembly has done little to stop him and the PA Supreme Court is squarely in his corner. If we’re to regain our...
2/ freedom, it’s up to us to make it happen. Working together, Pennsylvania residents and businesses can defeat Wolf’s latest effort to stifle our freedom.
@SecretaryLevine’s latest mask order contains a litany if exceptions. In fact, the order contains so many exceptions...
@SecretaryLevine’s latest mask order contains a litany if exceptions. In fact, the order contains so many exceptions...
3/ that we can easily use the exceptions to extinguish the rule.
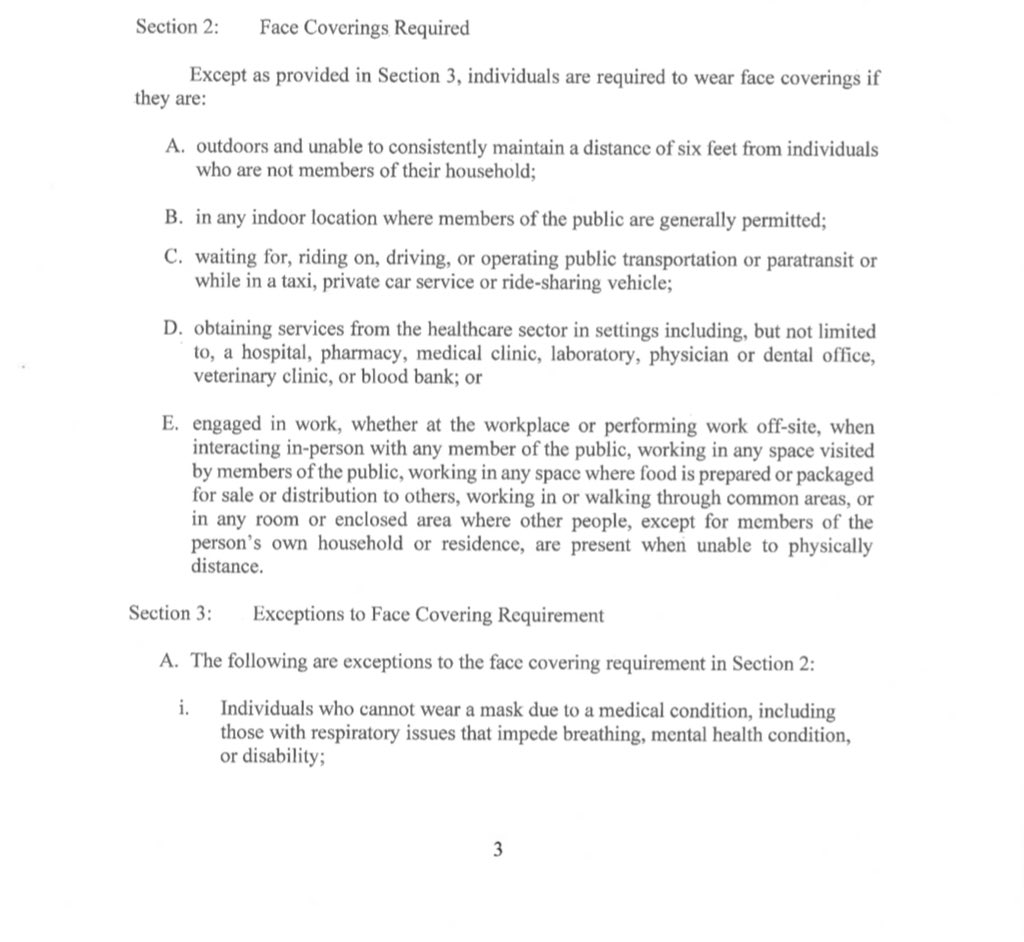
As many of you know, both Levine’s original mask order and the order issued yesterday exempt people who are unable to wear masks due to medical conditions. The most recent order broadens the medical exemption...
As many of you know, both Levine’s original mask order and the order issued yesterday exempt people who are unable to wear masks due to medical conditions. The most recent order broadens the medical exemption...
4/ to include individuals who are unable to wear masks because of a mental health condition. It’s also important to note that Levine’s order specifically provides that: “Individuals are not required to show documentation that an exception applies.”
So, here’s how PA’s mask...
So, here’s how PA’s mask...
5/ mandate should work in practice:
Customer enters business without a mask > business informs customer that masks are mandatory > customer advises business they cannot wear a mask due to a medical and/or mental health condition > business accepts customer’s assertion and...
Customer enters business without a mask > business informs customer that masks are mandatory > customer advises business they cannot wear a mask due to a medical and/or mental health condition > business accepts customer’s assertion and...
6/ allows him or her to enter business.
This factual scenario complies with both the letter and spirit of Levine’s mask mandate. As such, neither the customer nor the business can face any type of penalty for violation of the mask order.
So, hypothetically, if a business...
This factual scenario complies with both the letter and spirit of Levine’s mask mandate. As such, neither the customer nor the business can face any type of penalty for violation of the mask order.
So, hypothetically, if a business...
7/ client contacted me seeking advice on how to legally circumvent PA’s unconstitutional mask mandate, I would advise them (hypothetically) to do the following:
Post an employee or a sign at your entrance advising customers that masks are required - UNLESS YOU CANNOT WEAR A...
Post an employee or a sign at your entrance advising customers that masks are required - UNLESS YOU CANNOT WEAR A...
8/ MASK DUE TO A MEDICAL OR MENTAL HEALTH CONDITION. If a customer attempts to enter without a mask, politely inform them of the mask mandate but also be sure to advise them of the exceptions - “sir/ma’am, PA’s Health Secretary has issued an order requiring all Pennsylvanians...
9/ to wear a face covering when in public, unless they have a medical condition that prevents them from doing so. If these exemptions apply to you, you may enter without a mask.”
At this point, the business has done its due diligence and fully complied with PA’s mask...
At this point, the business has done its due diligence and fully complied with PA’s mask...
10/ mandate. Nothing further is required and no harm can befall the business for violation of the order.
For those of you concerned that making a false representation about a medical condition could result in some type of penalty - it cannot. Businesses...
For those of you concerned that making a false representation about a medical condition could result in some type of penalty - it cannot. Businesses...
11/ are not law enforcement agencies. You can no more be penalized for lying to a private business than you can for lying to your wife about how many beers you had last night.
12/ If businesses & residents stick together, we can defeat Wolf. But, in order for this to be effective, we have to practice it on a large scale. Everyone has to do their part. It’s time to send a message to Wolf that WE are the boss & he works for US. We. Are. Not. Subjects.
Read on Twitter