A thread about my new paper that just came out today: Changes in Movement Coordination Associated with Skill Acquisition in Baseball Batting: Freezing/Freeing Degrees of Freedom & Functional Variability https://www.frontiersin.org/articles/10.3389/fpsyg.2020.01295/full 1/10
In this paper, I analyzed ground reaction force (GRF) data from my 2017 baseball training study ( https://www.frontiersin.org/articles/10.3389/fpsyg.2017.02183/full) to examine how the coordination of the movements involved in the swing changed and how the changes related to performance 2/10
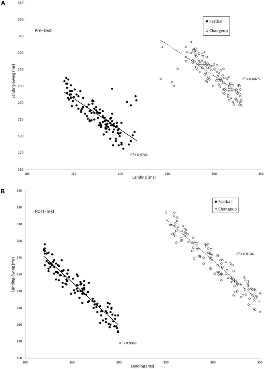
GRF data were used to divide the swings into phases using the method developed by Katsumata (2007) https://pubmed.ncbi.nlm.nih.gov/17204344/ . This produced several interesting findings. 3/10
First, if we look at the standard deviation of the timing of the different phases we see the decreasing (funnel-like) pattern that is characteristic of online, prospective control. This pattern gets stronger after training. 4/10
Second, the functional coupling between swing phases got stronger after training (larger correlations) i.e., greater motor synergies. Note, that the batter is also using a greater range of timings after training (i.e. freeing DF) -- NOT using the same repeatable swing 5/10
I next did a pseudo UCM analysis where I divided variability into good (any variation in swing timing that kept the swing within the required temporal constraint based on the pitch speed) & bad (variations that made the swing too early or late) components. 6/10
Good variability increased and bad variability decreased w/ training. Furthermore, the changes in variability were significantly correlated with several performance variables including OBP in the next full playing season. 7/10
The amount of change in good variability that occurred from pre-post training was significantly related to the individual constraint of the maximum bat speed the batter could generate 8/10
Finally, the magnitude of all the training-related changes I have described were significantly greater for the VE Adaptive group from my study – that is, the group that experienced a greater amount of variability in pitch speeds, locations and types during training. 9/10
In sum, this study provides evidence that skill in batting involves the development of functional couplings (synergies) between the different phases of the swing and that this is facilitating by adding variability to practice 10/10
Read on Twitter