I’m very happy to announce that our work on Lya absorption in z~2 circumgalactic medium from the Keck Baryonic Structure Survey is finally on arXiv! https://arxiv.org/abs/2006.13236 
In this work, we constructed the largest absorption sample at this redshift from 3000 galaxies. We matched these galaxies to form 200,000 (yes you read correctly) close pairs with traverse distances less than 3.5 Mpc.
The spectrum of each background galaxy is a probe to the CGM of the foreground galaxy. Though the foreground galaxies are not always the same, if the galaxies are similar, in a statistical way, you can think of this as an IFU observation of Lya but in absorption.
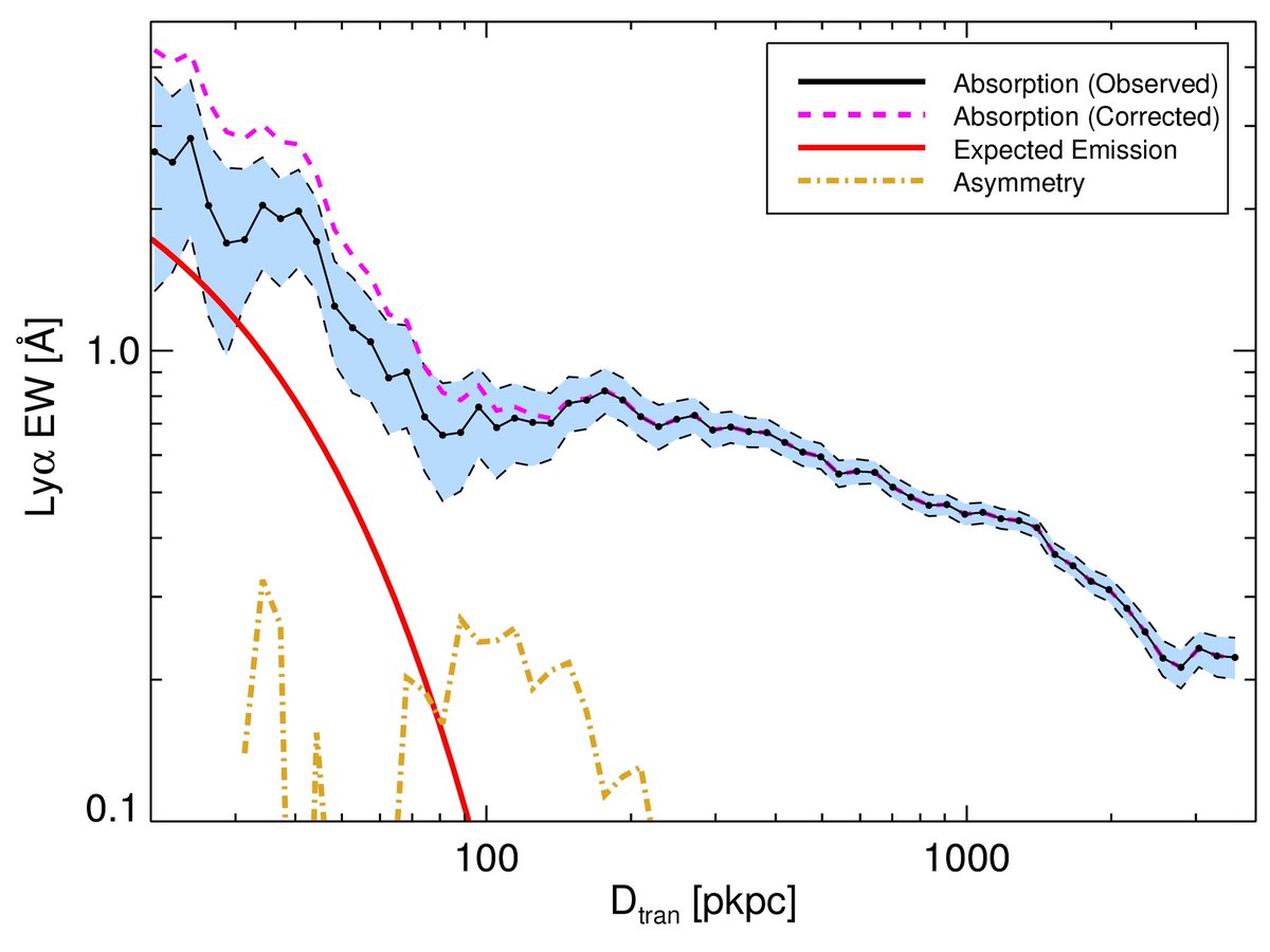
And the result is mind-blowing to me frankly. We were able to see the detailed H I kinematics from 30 kpc all the way to 3 Mpc. Its signature is unique and hard to forget. We have an explanation.
We compared our observation with the FIRE simulation to give us some insight. It is impossible to compare the two exactly, because predicting the absorption strength relies on knowing the physical form of cold gas (debatable). But qualitatively, the two agree well.
VC: @astrochum made from the FIRE Simulation.
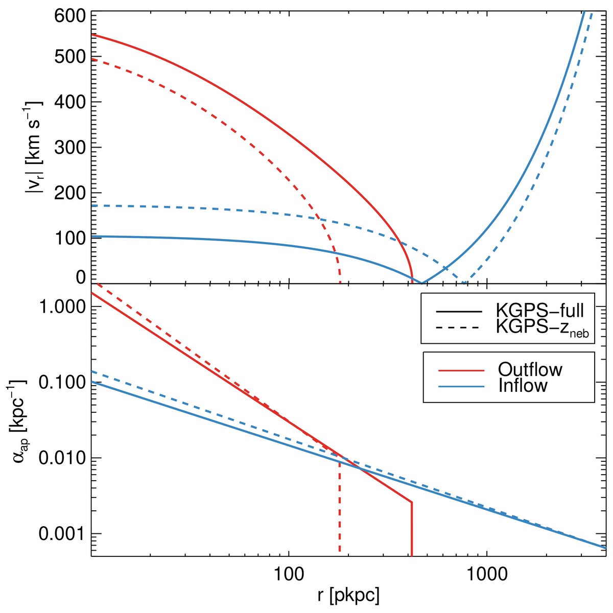
Quantitatively, we built an analytical model that contains simple inflow and outflow components. Running through MCMC, the model fits the observed kinematics really well. That means we can decouple the inflow and outflow components from the line of sight.
We also found smth mysterious. The red and blue sides of the absorption don’t match exactly. This absolutely should not happen to absorption from cosmological principals. We suspect that one side is contaminated by Lya emission, but we are not 100% sure. (Ideas are welcome!)
Looking forward, we are going to 1) do the same to metal lines and AGN-host galaxies, 2) compare it to the Lya emission using KCWI, 3) pushing to even closer pairs that may tell us how winds are launched. Figure spoiler is for our AGN sample that’ll be in another paper.
This work is only possible with >20 years’ of hard work of the @keckobservatory staff members. We are very honored to be able to gather these amazing data from Maunakea, a sacred place for Hawai’i people, and the best place for observational astronomy in the northern hemisphere.
I also want to thank my advisor Chuck who painstakingly went through >10 versions of the draft, and my coauthors including: @astrochum @GwenCRudie @crosstrainor @allison_strom @PFHopkins_Astro
Interested or not convinced? Why not give it a read?
You can follow @chen_yuguang.
Tip: mention @twtextapp on a Twitter thread with the keyword “unroll” to get a link to it.

Latest Threads Unrolled:

By continuing to use the site, you are consenting to the use of cookies as explained in our Cookie Policy to improve your experience.