Contour maps of regions of the face that people look at to determine identity, gender, and expression, according to https://journals.sagepub.com/doi/10.1111/1467-9280.00472
The tables of body measurements that the mysterious numbers in clothing sizes supposedly represent https://www.sizes.com/library/USA/Standards/
Pants for newborns of any gender only date to 1962 https://journals.sagepub.com/doi/abs/10.1177/0887302X0101900302
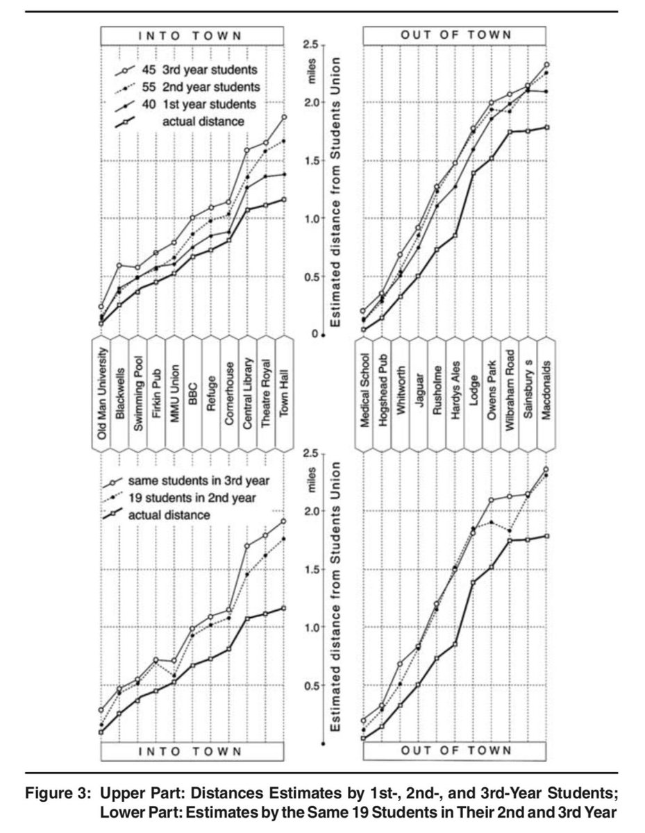
People's overestimates of distance increase the more familiar they are with the place, and they estimate distances away from the center as longer than distances toward the center https://journals.sagepub.com/doi/abs/10.1177/0013916505276743
People estimate things as being closer on a (busy) city street than in a (scenic) village https://journals.sagepub.com/doi/10.1177/0013916505281571
I am not sure if I believe this study actually represents how tight people like clothing to be at various points on their bodies or if they are just used to socks being the tightest things they wear anywhere https://journals.sagepub.com/doi/abs/10.1177/0040517518786272?journalCode=trjc
Standard clothing sizes are found to be poorly suited to the proportions of Croatian basketball players https://journals.sagepub.com/doi/abs/10.1177/0040517519849469
You can follow @enf.
Tip: mention @twtextapp on a Twitter thread with the keyword “unroll” to get a link to it.

Latest Threads Unrolled:

By continuing to use the site, you are consenting to the use of cookies as explained in our Cookie Policy to improve your experience.